Open Access

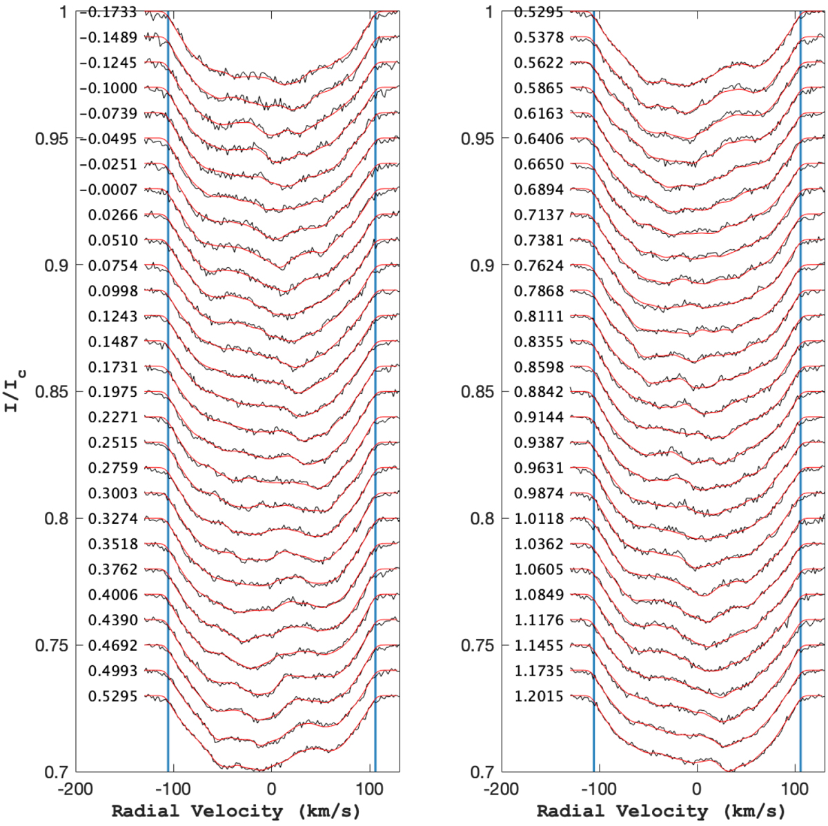
Fig. B.1

image

Observed (black) and modeled (red) Stokes I profiles, in a display similar to Fig. 2. Data from 29 Nov. 06 (resp. 05 Dec. 06) is plotted on the left (resp. right). Successive profiles are vertically shifted for display clarity. Rotational phases are indicated on the left of the profiles. Blue vertical lines show the ± v sin i limit.

Current usage metrics show cumulative count of Article Views (full-text article views including HTML views, PDF and ePub downloads, according to the available data) and Abstracts Views on Vision4Press platform.

Data correspond to usage on the plateform after 2015. The current usage metrics is available 48-96 hours after online publication and is updated daily on week days.

Initial download of the metrics may take a while.