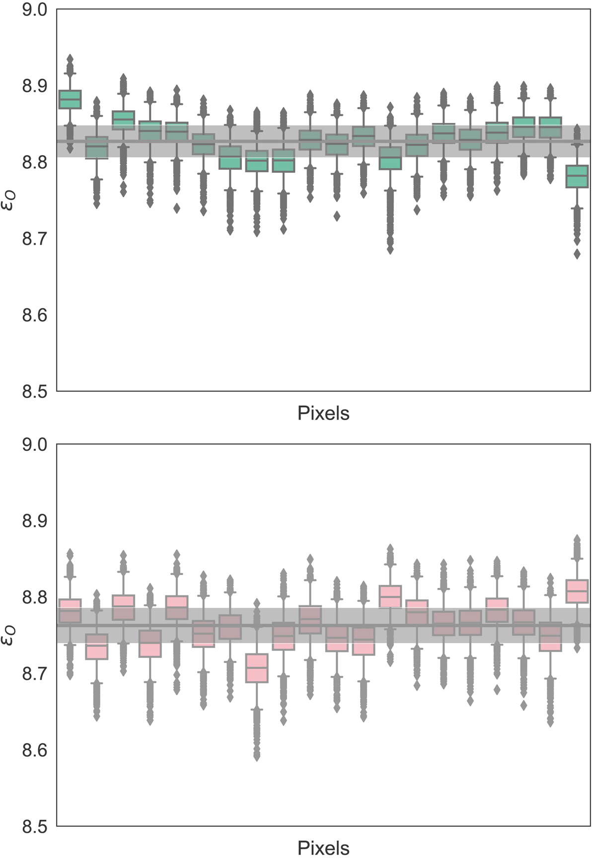
Fig. 8.

Distribution of oxygen abundance for each pixel. Granules are shown in the upper panel and lanes in the bottom panel. The gray horizontal line represents the mean of the means of each pixel and the gray area represents the standard deviation. The horizontal line inside each color box represents the median value of the marginal posterior distribution, and the color box covers the range encompassing 50% of the probability.
Current usage metrics show cumulative count of Article Views (full-text article views including HTML views, PDF and ePub downloads, according to the available data) and Abstracts Views on Vision4Press platform.
Data correspond to usage on the plateform after 2015. The current usage metrics is available 48-96 hours after online publication and is updated daily on week days.
Initial download of the metrics may take a while.