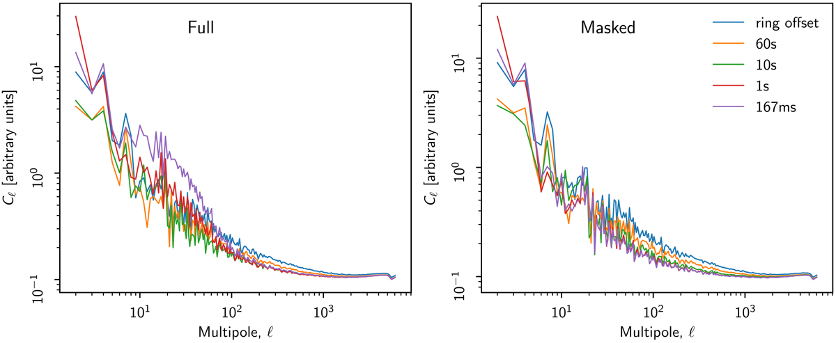
Fig. 13.

Power spectra of destriped dark-bolometer maps using various baseline lengths. The “full” case on the left panel shows the pseudo-Cℓ power spectrum over the entire map, including the Galactic plane that was masked out while solving for the baseline offsets. Right panel: power spectrum taken over the sky pixels that were considered when solving for the baselines. Shorter baselines clearly suppress noise above ℓ = 20. The 167 ms case shows an elevated residual at ℓ < 100 inside the destriping mask, likely due to the filter’s inability to constrain the solution. The residual at ℓ < 20 is dominated by the irreducible uncertainty set by the Planck scan strategy, and cannot be improved without external information.
Current usage metrics show cumulative count of Article Views (full-text article views including HTML views, PDF and ePub downloads, according to the available data) and Abstracts Views on Vision4Press platform.
Data correspond to usage on the plateform after 2015. The current usage metrics is available 48-96 hours after online publication and is updated daily on week days.
Initial download of the metrics may take a while.