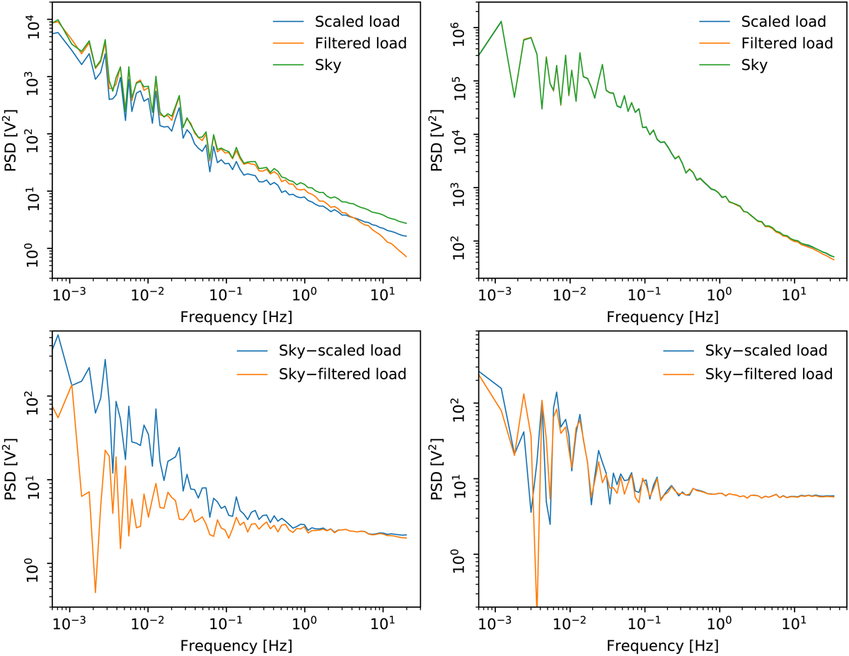
Fig. 6.

NPIPE applies a low-pass filter to the LFI load signal before decorrelation. In PR3, a single scaling coefficient was fitted each operational day. We demonstrate the two approaches for one pointing period on two diodes: LFI2500 (left), with a relatively low amount of 1/f noise; and LFI1800 (right), which is dominated by 1/f at all frequencies. Top: power spectral densities of sky and best-fit load signals. Bottom: power spectral densities of sky−load differenced signals. The PSDs were binned into 300 logarithmically-spaced bins for clarity. The scaled load template leaves more noise at both high and low frequencies than a filtered version, where the uncorrelated power is suppressed. When the 1/f fluctuations dominate across the spectral domain, the scaling and filtering approaches achieve effectively the same result.
Current usage metrics show cumulative count of Article Views (full-text article views including HTML views, PDF and ePub downloads, according to the available data) and Abstracts Views on Vision4Press platform.
Data correspond to usage on the plateform after 2015. The current usage metrics is available 48-96 hours after online publication and is updated daily on week days.
Initial download of the metrics may take a while.