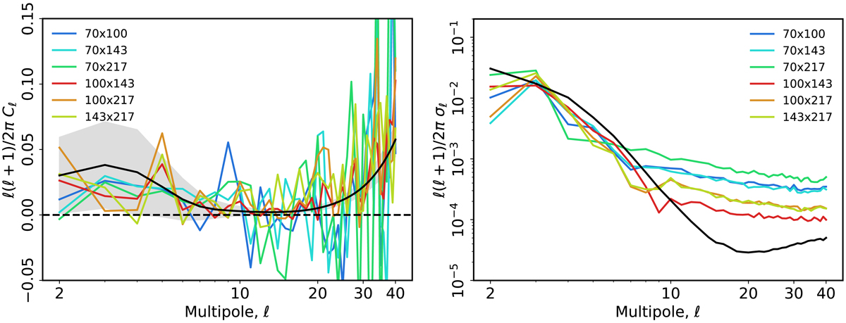
Fig. 83.

Left: cross-power spectra for the four Planck frequency maps at 70, 100, 143, and 217 GHz compared to the Planck2018 best-fit model for EE (solid black line). Right: standard deviation of the sum of noise, systematics, and uncertainties related to foreground cleaning for the cross-frequency spectra computing using Monte Carlos as compared to the cosmic variance (solid black line).
Current usage metrics show cumulative count of Article Views (full-text article views including HTML views, PDF and ePub downloads, according to the available data) and Abstracts Views on Vision4Press platform.
Data correspond to usage on the plateform after 2015. The current usage metrics is available 48-96 hours after online publication and is updated daily on week days.
Initial download of the metrics may take a while.