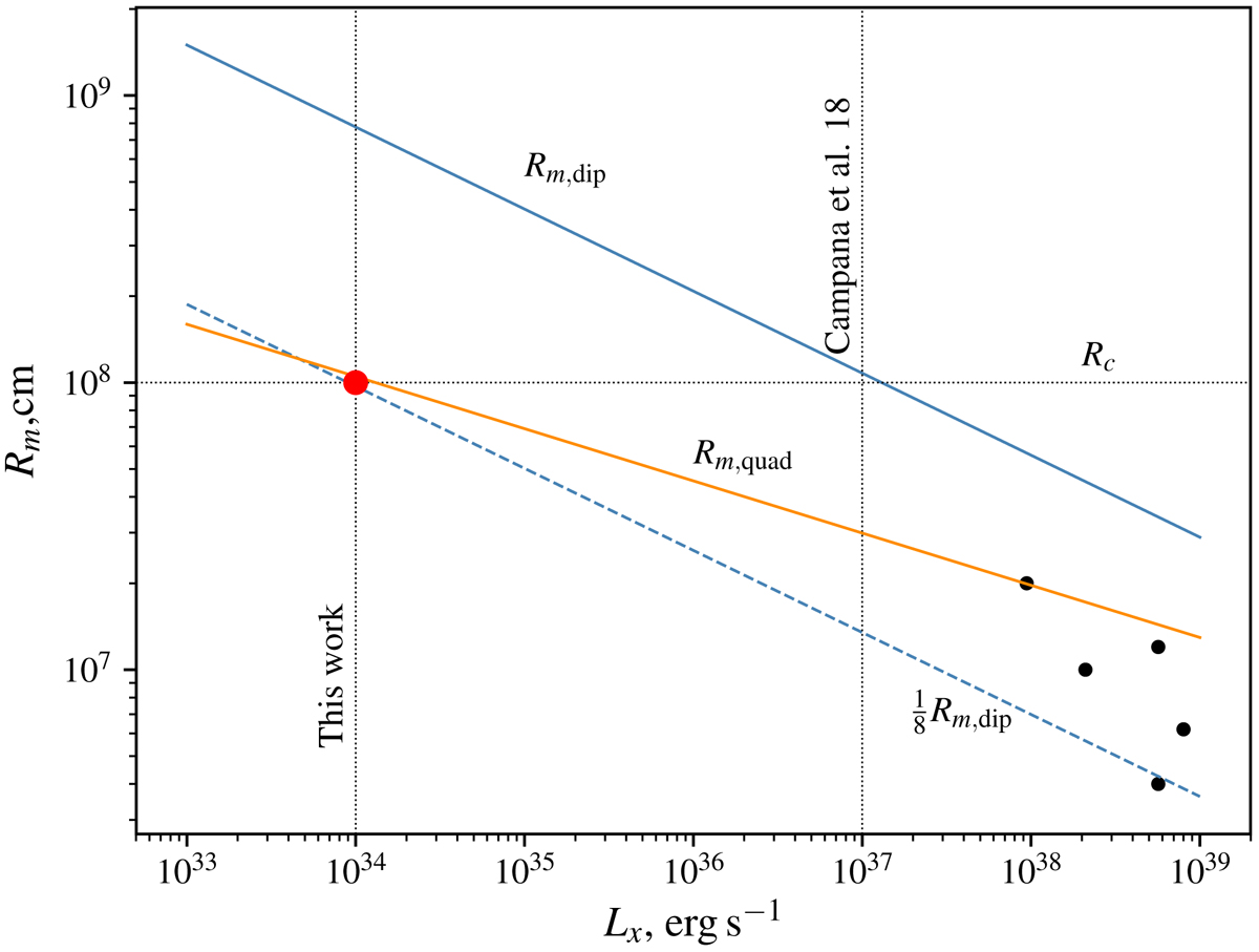
Fig. 8.

Estimates of the magnetospheric radius published in the literature (black points, see text for references) and obtained in this work (red circle) as a function of luminosity. Theoretical estimates of the magnetospheric radii for dipole Rm, dip, assuming ξ = 0.49 and μ30 = 0.43 (Campana et al. 2018), and quadrupole Rm, quad with ξ = 0.8 and μ30 = 0.43 (Mönkkönen et al. 2019), corotation radius Rc and estimated luminosities for the propeller transition obtained in this work and by Campana et al. (2018; black dotted lines) are also shown.
Current usage metrics show cumulative count of Article Views (full-text article views including HTML views, PDF and ePub downloads, according to the available data) and Abstracts Views on Vision4Press platform.
Data correspond to usage on the plateform after 2015. The current usage metrics is available 48-96 hours after online publication and is updated daily on week days.
Initial download of the metrics may take a while.