Free Access

Fig. 15

image

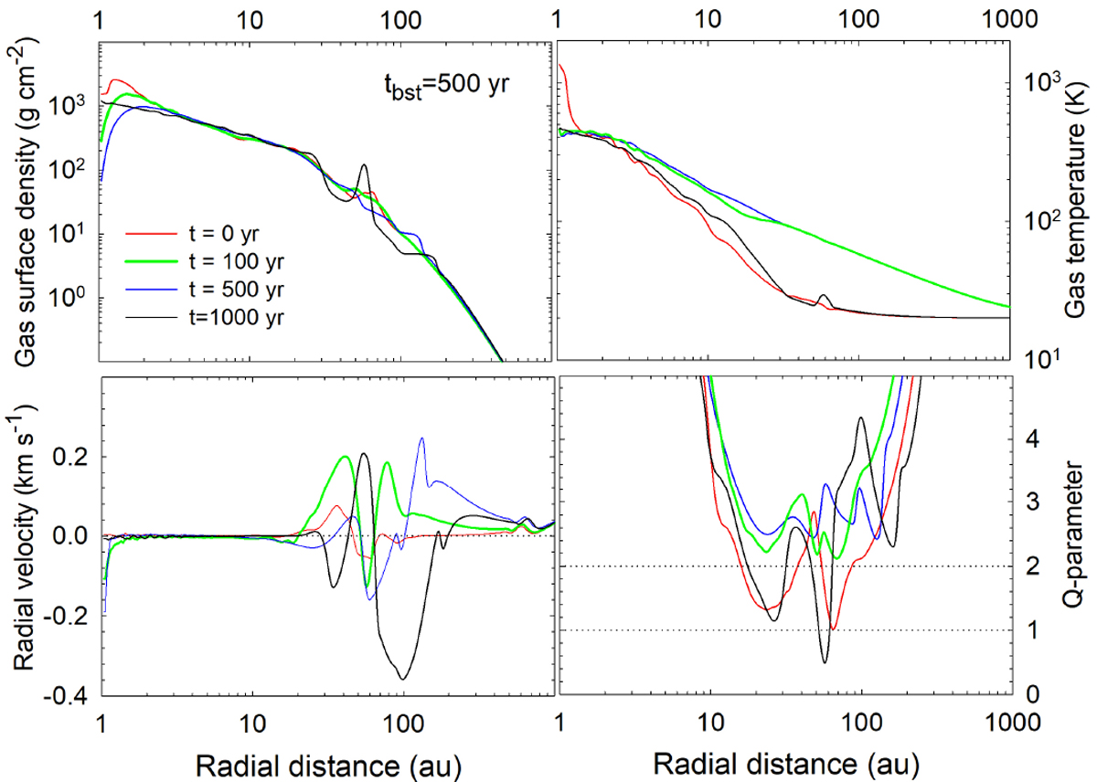
Azimuthally averaged radial profiles of the gas surface density (top-left), gas temperature (top-right), gas radial velocity (bottom-left), and Toomre Q-parameter (bottom-right) at three times after the onset of the burst: 200 yr (green lines), 500 yr (blue lines), and 1000 yr (black lines). The initial profiles are also shown with the red lines. The burst duration is 500 yr with a constant magnitude. The horizontal dotted lines mark zero radial velocity and Q = 1 for convenience.

Current usage metrics show cumulative count of Article Views (full-text article views including HTML views, PDF and ePub downloads, according to the available data) and Abstracts Views on Vision4Press platform.

Data correspond to usage on the plateform after 2015. The current usage metrics is available 48-96 hours after online publication and is updated daily on week days.

Initial download of the metrics may take a while.