Free Access

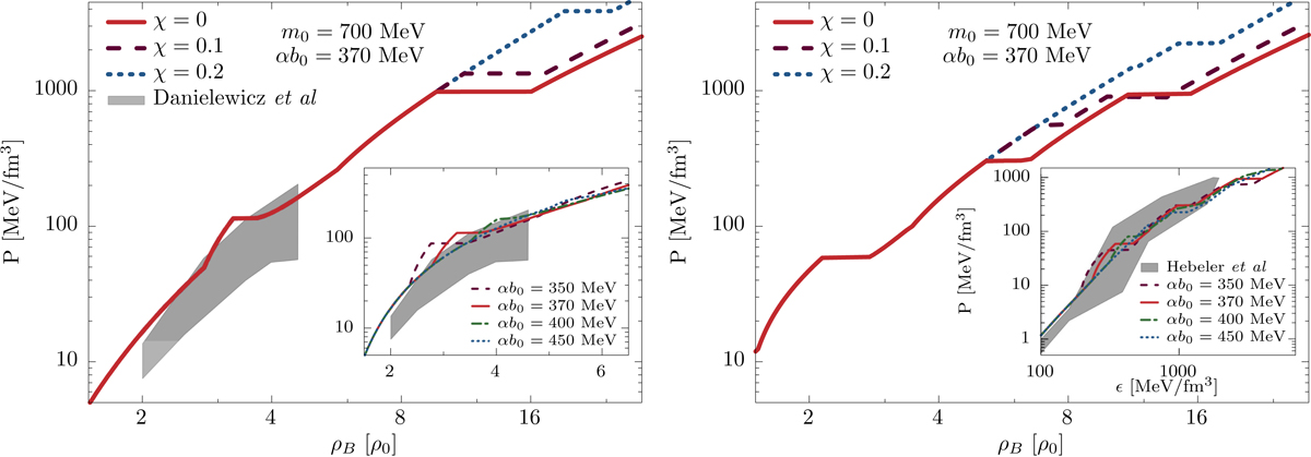
Fig. 1.

image

Thermodynamic pressure, P, for isospin-symmetric matter (left panel) and under the NS conditions of β-equilibrium and charge neutrality (right panel), as functions of the net-baryon number density, ρB, in units of the saturation density, ρ0 = 0.16 fm−3 for m0 = 700 MeV, αb0 = 370 MeV and different values of the parameter χ (see text for details). Left panel: the flow constraint (Danielewicz et al. 2002) is shown as the gray shaded region. In both panels, the inset plots show pressure for χ = 0 and different values of the parameter α, in the vicinity of the constraints obtained by Danielewicz et al. (2002) (left panel) and Hebeler et al. (2013) (right panel). We note that the inset figure in the right panel shows pressure as a function of energy density. In both panels, the first-order phase transitions are seen as plateaux of constant pressure.

Current usage metrics show cumulative count of Article Views (full-text article views including HTML views, PDF and ePub downloads, according to the available data) and Abstracts Views on Vision4Press platform.

Data correspond to usage on the plateform after 2015. The current usage metrics is available 48-96 hours after online publication and is updated daily on week days.

Initial download of the metrics may take a while.