Free Access

Fig. 2.

image

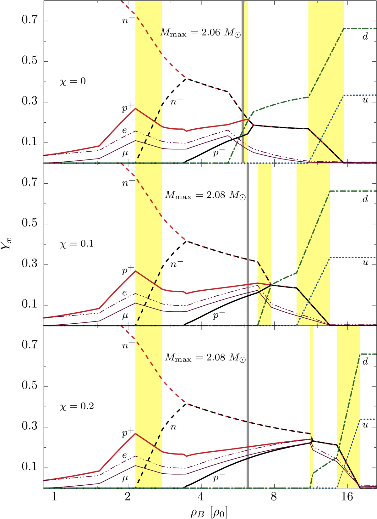
Composition of compact star matter as a function of the central baryon density in the units of saturation density for the present model for m0 = 700 MeV and αb0 = 370 MeV. Three different cases are considered for χ = 0 (top panel), χ = 0.1 (middle panel), χ = 0.2 (bottom panel). In each panel, the yellow shaded areas indicate the density regions of phase coexistence. The gray, solid vertical lines indicate the central densities of the associated maximum-mass neutron stars.

Current usage metrics show cumulative count of Article Views (full-text article views including HTML views, PDF and ePub downloads, according to the available data) and Abstracts Views on Vision4Press platform.

Data correspond to usage on the plateform after 2015. The current usage metrics is available 48-96 hours after online publication and is updated daily on week days.

Initial download of the metrics may take a while.