Free Access

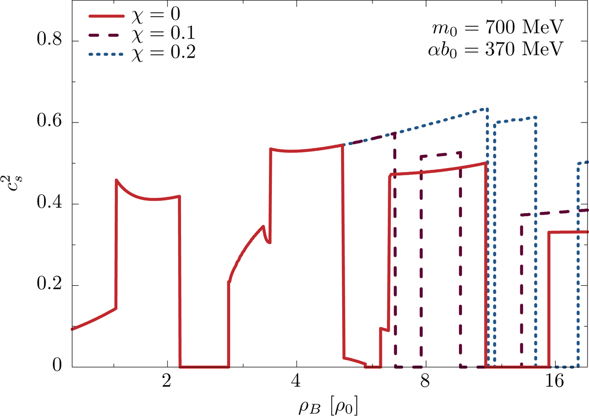
Fig. 4.

image

Speed of sound squared as a function of the net-baryon number density, ρB, in units of the saturation density, ρ0 = 0.16 fm−3 for m0 = 700 MeV, αb0 = 370 MeV and different values of the parameter χ (see text for details). The first order phase transitions are seen as plateaux of vanishing speed of sound.

Current usage metrics show cumulative count of Article Views (full-text article views including HTML views, PDF and ePub downloads, according to the available data) and Abstracts Views on Vision4Press platform.

Data correspond to usage on the plateform after 2015. The current usage metrics is available 48-96 hours after online publication and is updated daily on week days.

Initial download of the metrics may take a while.