Free Access

Fig. 6.

image

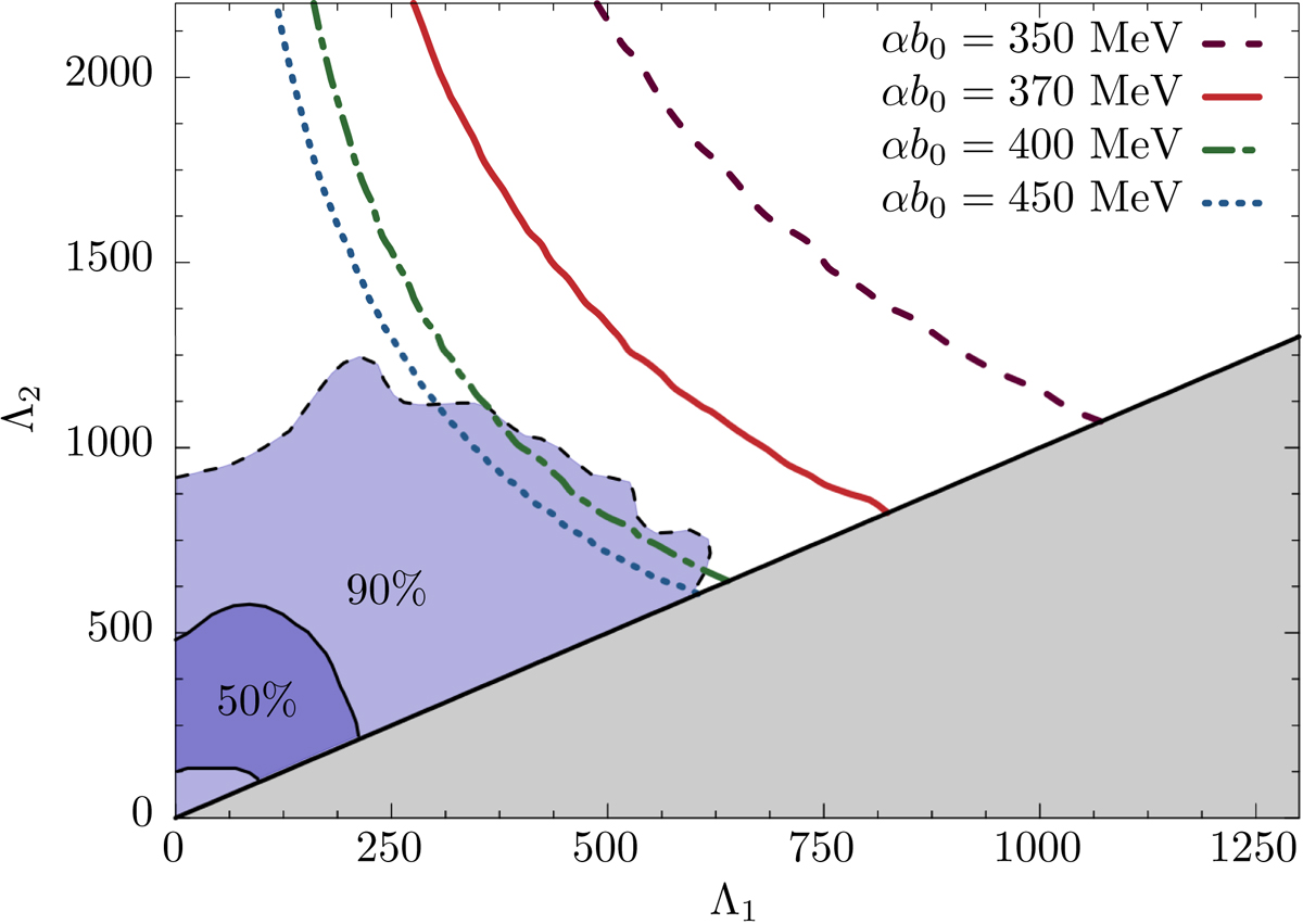
Relation between tidal deformabilities Λ1 and Λ2 of two compact stars that merged in the GW170817 event (Abbott et al. 2018). For comparison, also shown are the 50% and 90% fidelity regions from the analysis of the GW signal by the LIGO-VIRGO collaboration (Abbott et al. 2018). The gray shading corresponds to the unphysical region Λ2 <  Λ1.

Current usage metrics show cumulative count of Article Views (full-text article views including HTML views, PDF and ePub downloads, according to the available data) and Abstracts Views on Vision4Press platform.

Data correspond to usage on the plateform after 2015. The current usage metrics is available 48-96 hours after online publication and is updated daily on week days.

Initial download of the metrics may take a while.