Fig. 2

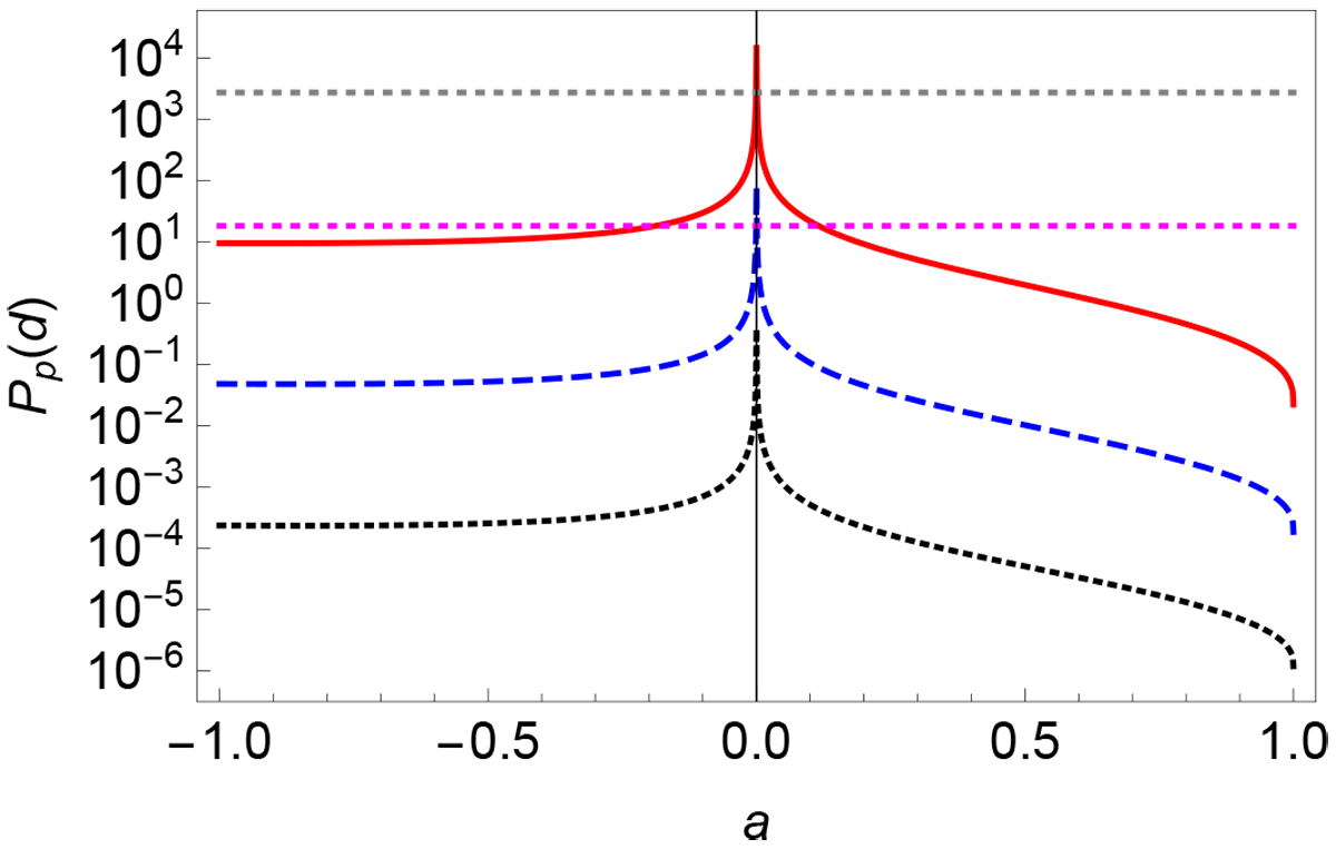
Precession period for GRS 1758–258 as a function of the spin parameter. The outer non-dimensional radius of the disc is taken to be ξout = 1000ξms. Different lines correspond to the different power-law slopes of the disc surface density (red-continuous for s = 0; blue-dashed for s = −1, and black-dotted for s = −2). The grey-dotted horizontal line marks the estimated period of precession of approximately 7.5 yr, while the magenta-dotted line marks the 18.48 days precession period proposed in Martí et al. (2016).
Current usage metrics show cumulative count of Article Views (full-text article views including HTML views, PDF and ePub downloads, according to the available data) and Abstracts Views on Vision4Press platform.
Data correspond to usage on the plateform after 2015. The current usage metrics is available 48-96 hours after online publication and is updated daily on week days.
Initial download of the metrics may take a while.