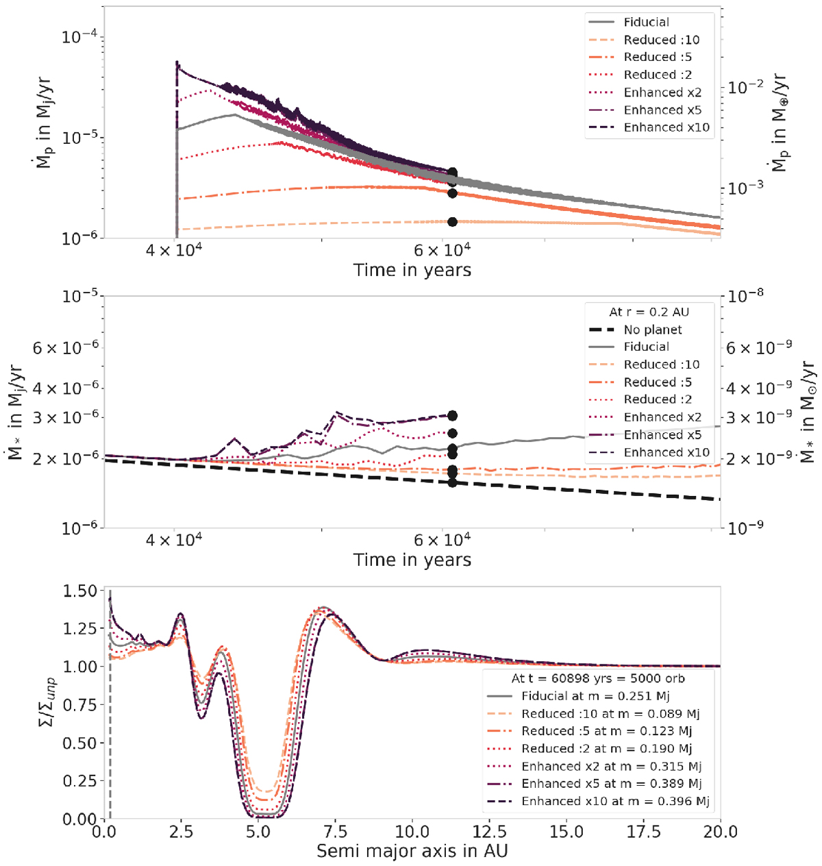
Fig. 11

Influence of different accretion rates on stellar gas accretion for α = 10−4 and h = 0.05. Top: planetary gas accretion rate for the seven reduced, enhanced, and fiducial accretion rates. The presences of vortices create oscillations in the accretion rate: the larger the vortex, the larger the oscillations. Middle: stellar gas accretion at the inner edge of the disc (0.2 AU). At this low viscosity, the trend is flipped compared to the high viscosity case: a more efficiently accreting planet will lead to an enhanced accretion onto the star. This is due to the fact that at low viscosity, the inner disc is mostly perturbed by the presence of the planetand the viscosity is too low to compensate for it. Bottom: perturbed surface density at time t = 4000 orbits = 48 718 yr. The vertical line shows the location at which the stellar accretion rates are measured (0.2 AU).
Current usage metrics show cumulative count of Article Views (full-text article views including HTML views, PDF and ePub downloads, according to the available data) and Abstracts Views on Vision4Press platform.
Data correspond to usage on the plateform after 2015. The current usage metrics is available 48-96 hours after online publication and is updated daily on week days.
Initial download of the metrics may take a while.