Fig. 15

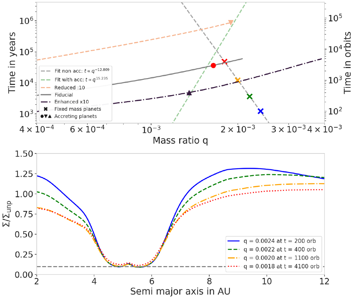
Time needed for gap opening as a function of the planetary mass for α = 2 × 10−2 and h = 0.05. Panels represent the same quantities as in Fig. 14. For these disc parameters, the gap-opening mass and time of the accreting planets do not follow predictions for the fixed-mass planets. Gas accretion is, therefore, the dominant phenomenon for gap formation.
Current usage metrics show cumulative count of Article Views (full-text article views including HTML views, PDF and ePub downloads, according to the available data) and Abstracts Views on Vision4Press platform.
Data correspond to usage on the plateform after 2015. The current usage metrics is available 48-96 hours after online publication and is updated daily on week days.
Initial download of the metrics may take a while.