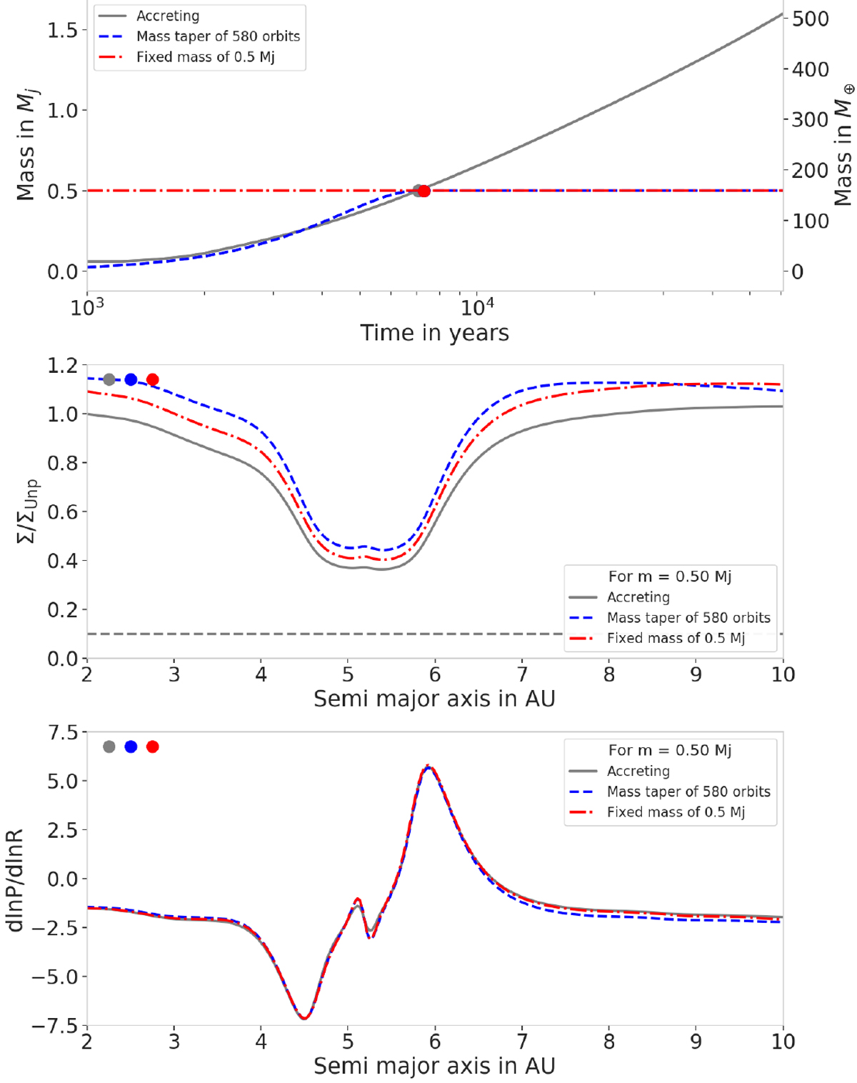
Fig. 2

Influence of gas accretion on the gap shape for a planet of m = 0.5 MJ, below the nominal gap-opening mass, for h = 0.05 and α = 10−2. Top: time evolution of the planetary mass in the three different simulations: accreting planet (solid gray), mass-tapered planet (dashed blue), and fixed planet mass (dashed red). Mass is removed from the disc only for the accreting example. We plot the mass evolutions after gas accretion is allowed (after t = 100 planetary orbits ≃1.2 × 103 yr) Middle: perturbed surface density at the time when m = 0.5 MJ (dots in the top panel). The horizontal gray dashed line marks the gap-opening criterion defined by Crida et al. (2006). An accreting planet will create a deeper gap than a non-accreting one when the gap-opening mass is not yet reached. Bottom: pressure gradient in the three different cases for m = 0.5 MJ. Similar pressure gradients imply that gas accretion does not have a major influence on the pressure structure in the protoplanetary disc. This implies that particles are trapped at a similar position and we cannot distinguish between accreting and non-accreting planets via the shape of dust traps in this case.
Current usage metrics show cumulative count of Article Views (full-text article views including HTML views, PDF and ePub downloads, according to the available data) and Abstracts Views on Vision4Press platform.
Data correspond to usage on the plateform after 2015. The current usage metrics is available 48-96 hours after online publication and is updated daily on week days.
Initial download of the metrics may take a while.