Free Access
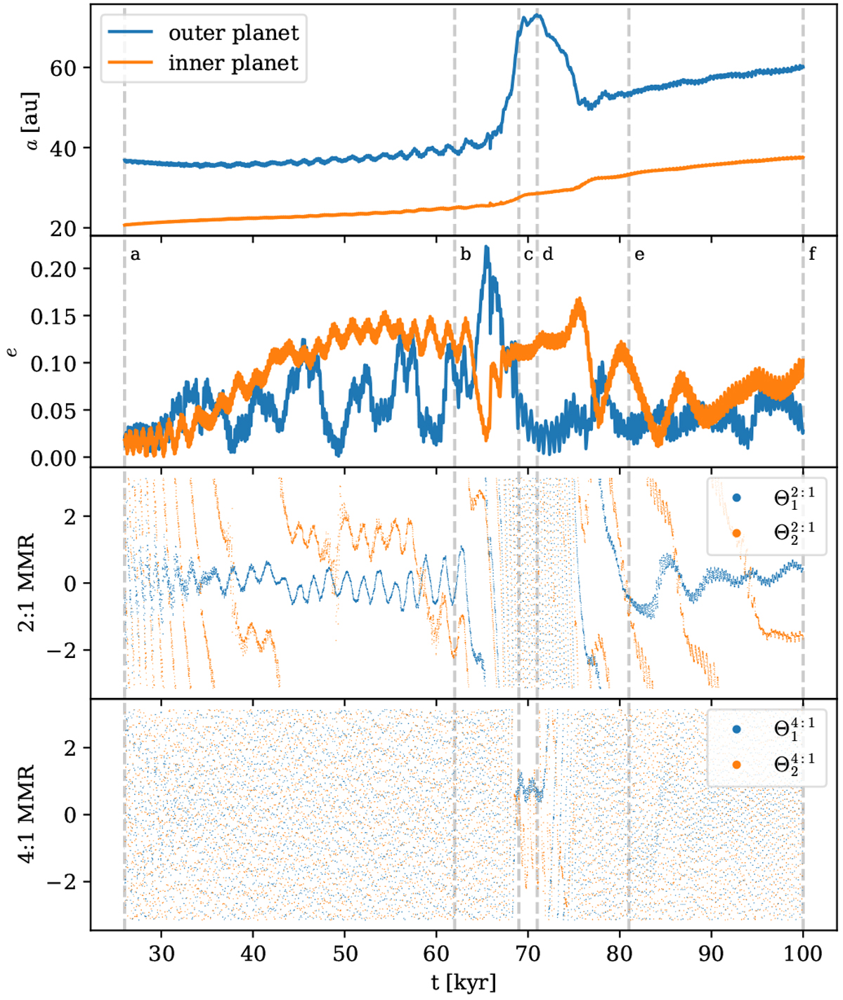
Fig. 4

Zoom-in on a migration jump in model M9-3 including the time leading up to and following the event. The panels show, from top to bottom, the evolution of: the semi-major axis of both planets, their eccentricities, the 2:1 MMR angles,
, and 4:1 MMR angles,
. The verticallines correspond to the snapshots shown in Fig. 5.
Current usage metrics show cumulative count of Article Views (full-text article views including HTML views, PDF and ePub downloads, according to the available data) and Abstracts Views on Vision4Press platform.
Data correspond to usage on the plateform after 2015. The current usage metrics is available 48-96 hours after online publication and is updated daily on week days.
Initial download of the metrics may take a while.