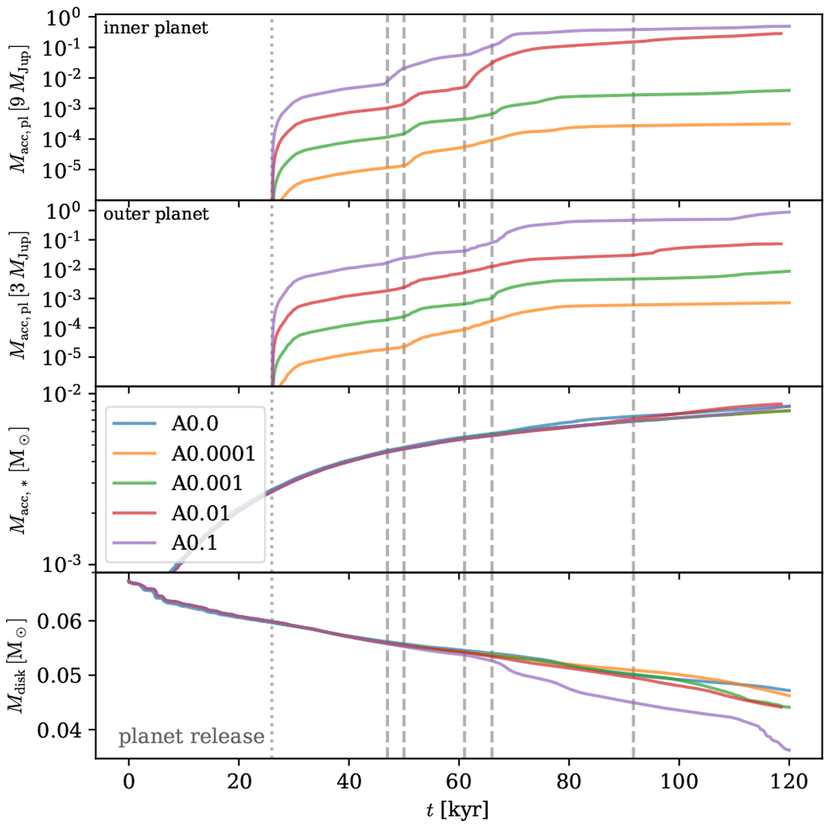
Fig. 8

Evolution of the mass accreted onto the planets and the star and the disk mass for the models with planetary accretion. The panels show from top to bottom: the mass accreted onto the inner and outer planet, Macc,pl, the mass which leaves the disc through the inner domain, Macc, *, (i.e. the mass that would be accreted onto the star, but which is not added to it in the simulations), and the evolution of the total disc mass, Mdisc. The evolution of Mdisk also includes the mass leaving the outer domain. The values are in units of the initial mass of the respective object for the accreted masses and in stellar masses for the disc mass. The dashed vertical lines correspond to the ones in Fig. 7.
Current usage metrics show cumulative count of Article Views (full-text article views including HTML views, PDF and ePub downloads, according to the available data) and Abstracts Views on Vision4Press platform.
Data correspond to usage on the plateform after 2015. The current usage metrics is available 48-96 hours after online publication and is updated daily on week days.
Initial download of the metrics may take a while.