Open Access

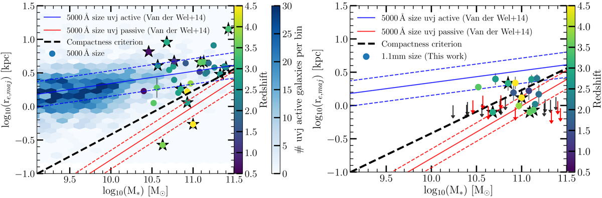
Fig. 7.

image

Left panel: 5000 Å size-mass plane for the galaxies located in the GOODS–South field for which sizes have been measured in van der Wel et al. (2014). The density of the UVJ active galaxies (with 2 < z < 4) in the GOODS-ALMA field is represented by the blue hexagons. The blue and red lines represent the trends of active and passive galaxies respectively, while the dashed lines give the scatter on these relations (van der Wel et al. 2014). The ALMA-detected galaxies are shown with dots color-coded by redshift. The stars represent galaxies with LX, int > 1043 erg s−1. Right panel: ALMA size-mass plane for the ALMA detected galaxies. For comparison, the trends for active and passive galaxies are also shown. We indicate the compactness criterion described in Eq. (20) to visualize which galaxies are compact at 5000 Å. In this figure, ALMA sizes have been divided by a factor of , which corresponds to the median of the b/a ratio, to reflect size differences with HST. Galaxies with LX, int > 1043 erg s−1 and for which only an upper limit in ALMA size has been determined are displayed with a red arrow.

Current usage metrics show cumulative count of Article Views (full-text article views including HTML views, PDF and ePub downloads, according to the available data) and Abstracts Views on Vision4Press platform.

Data correspond to usage on the plateform after 2015. The current usage metrics is available 48-96 hours after online publication and is updated daily on week days.

Initial download of the metrics may take a while.