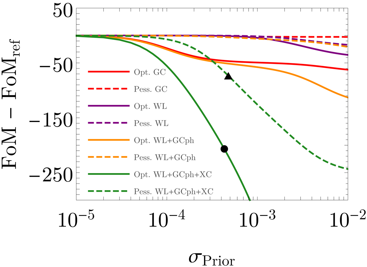
Fig. 6.

Difference between the FoM and the reference one obtained in the case where all shifts in the mean of the photometric-redshift distributions are perfectly known and equal to zero (Δzi = σ(Δzi) = 0), for a changing value of the prior added. The results refer to GCph (red), WL (purple), WL+GCph (orange), and WL+GCph+XC (green), under pessimistic (dashed) and optimistic (solid) assumptions. The black dot denotes the prior threshold for which the final FoM of the full WL+GCph+XC combination in the optimistic case is degraded by 20%. The black triangle represents the same threshold in the pessimistic case (see the text for details). We note that the reference FoM is larger for the optimistic case in comparison to the pessimistic case, and it increases when the XC terms are included. However, the different lines are normalised to their corresponding reference FoMs for illustrative purposes.
Current usage metrics show cumulative count of Article Views (full-text article views including HTML views, PDF and ePub downloads, according to the available data) and Abstracts Views on Vision4Press platform.
Data correspond to usage on the plateform after 2015. The current usage metrics is available 48-96 hours after online publication and is updated daily on week days.
Initial download of the metrics may take a while.