Free Access
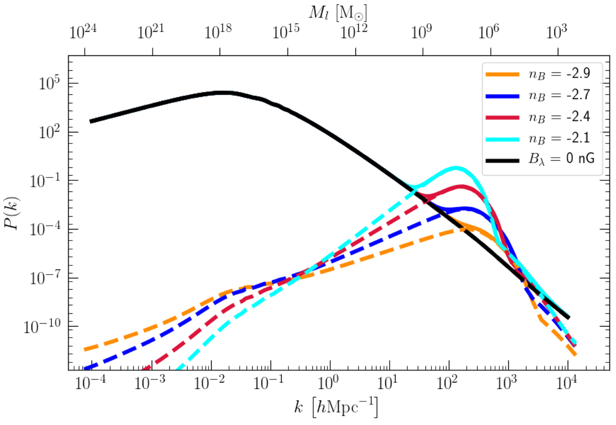
Fig. 1.

Contribution of the magnetically induced power spectrum for a variety of magnetic field indexes (dashed colored lines) to the total matter power spectrum solid colored lines). The unperturbed ΛCDM spectrum is shown as the black continuous line. The magnetic field strength is kept constant at Bλ = 0.05 nG.
Current usage metrics show cumulative count of Article Views (full-text article views including HTML views, PDF and ePub downloads, according to the available data) and Abstracts Views on Vision4Press platform.
Data correspond to usage on the plateform after 2015. The current usage metrics is available 48-96 hours after online publication and is updated daily on week days.
Initial download of the metrics may take a while.