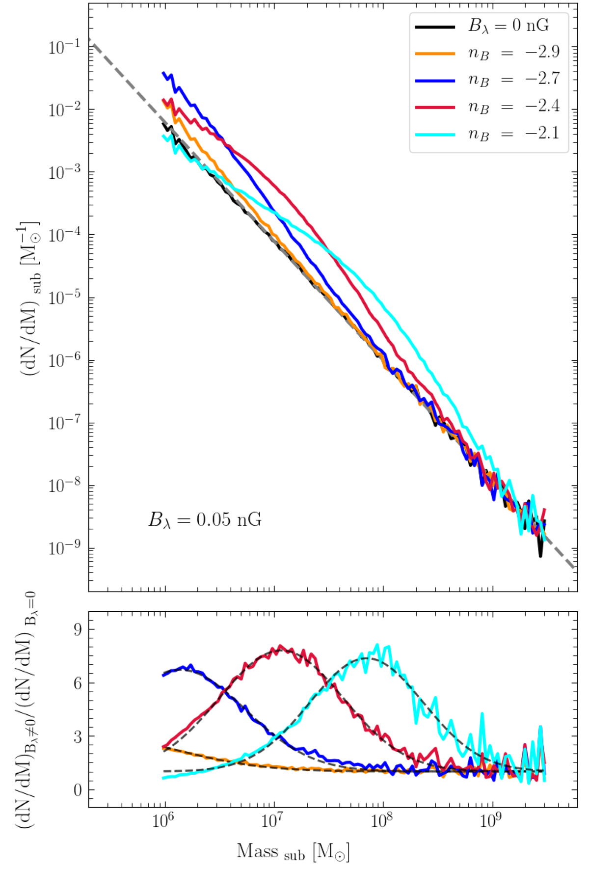
Fig. 4.

Halo mass function. The halo mass is calculated within R200. The count of halos is shown per logarithmic mass interval for different slope indexes nB with a constant magnetic field strength, Bλ = 0.05nG. The dashed gray line shows a power law dN/dM ∼ M−1.96 fitted to the unperturbed power spectrum. The bottom panel shows the ratio of the halo mass function of each PMF model to the unperturbed model. The dashed lines correspond to the fit given by Eq. (12).
Current usage metrics show cumulative count of Article Views (full-text article views including HTML views, PDF and ePub downloads, according to the available data) and Abstracts Views on Vision4Press platform.
Data correspond to usage on the plateform after 2015. The current usage metrics is available 48-96 hours after online publication and is updated daily on week days.
Initial download of the metrics may take a while.