Open Access

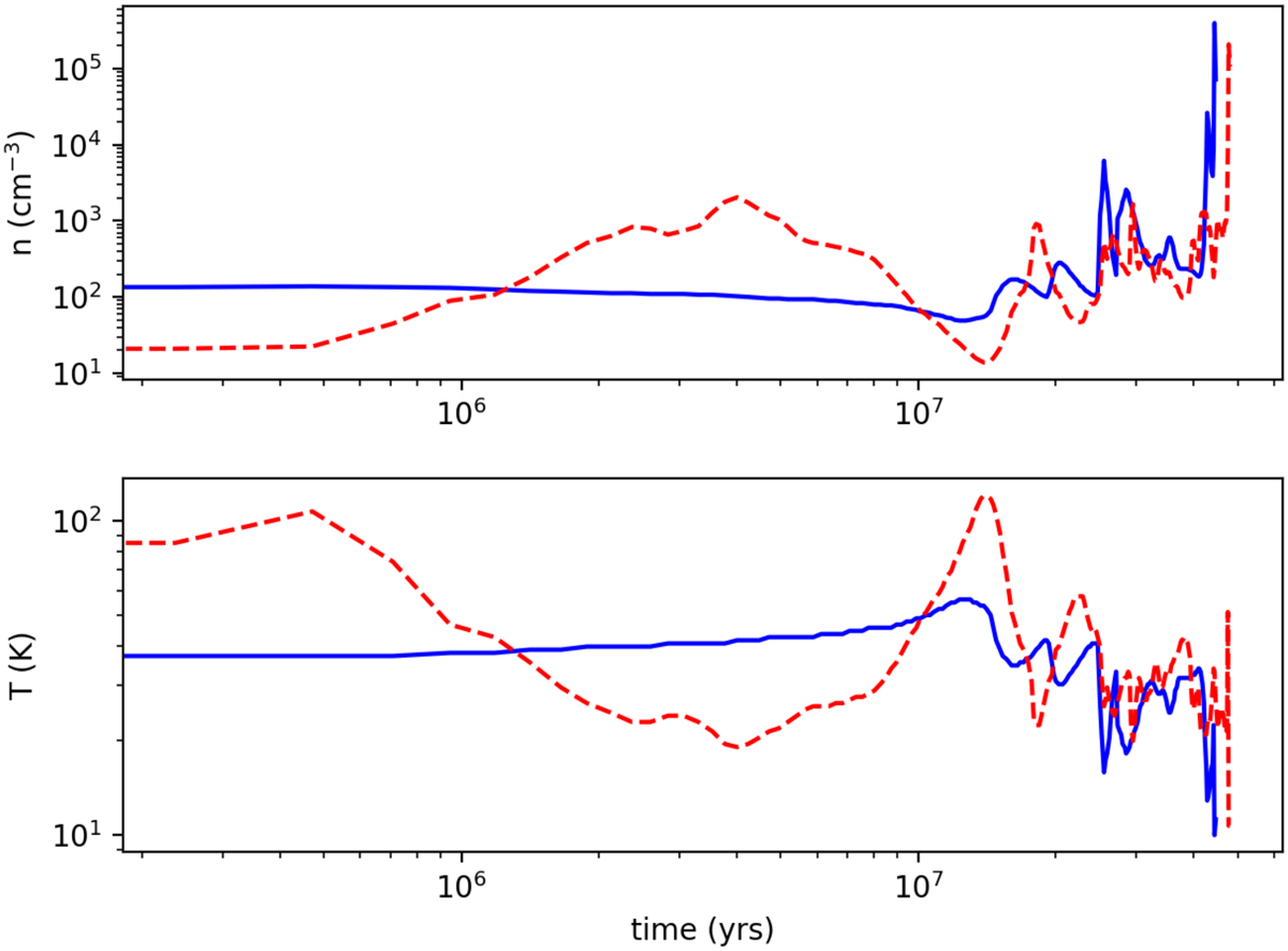
Fig. B.3

image

Evolution of the density and temperature of two SPH simulations of the formation of dense cores (Ruaud et al. 2018)leading to the two sets of initial abundances A and B used in our simulations (blue solid line for cloud A, red dashed line for cloud B).

Current usage metrics show cumulative count of Article Views (full-text article views including HTML views, PDF and ePub downloads, according to the available data) and Abstracts Views on Vision4Press platform.

Data correspond to usage on the plateform after 2015. The current usage metrics is available 48-96 hours after online publication and is updated daily on week days.

Initial download of the metrics may take a while.