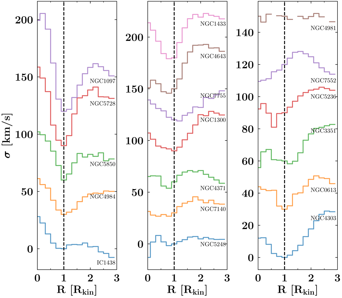
Fig. 7.

Overview of the radial profiles of stellar velocity dispersions in the region of the nuclear disc. Left-hand panel: all galaxies in which the velocity dispersions within the nuclear disc exceed the values observed in their direct surroundings. Central and right-hand panels: remaining galaxies from the non-star-forming and star-forming subsample, respectively. The profiles are vertically offset by 30 km s−1, according to the values measured at the kinematic radius. Using the galactocentric radius, the data is binned in radial steps of 0.2 Rkin and the median velocity dispersions displayed. The vertical dashed line highlights the kinematic radius of the nuclear discs. We note that NGC 1291, NGC 1365, and NGC 6902 are not included in this figure, as no kinematic radii are available for these galaxies. Unbinned radial profiles without any vertical offset are provided in Appendix C.
Current usage metrics show cumulative count of Article Views (full-text article views including HTML views, PDF and ePub downloads, according to the available data) and Abstracts Views on Vision4Press platform.
Data correspond to usage on the plateform after 2015. The current usage metrics is available 48-96 hours after online publication and is updated daily on week days.
Initial download of the metrics may take a while.