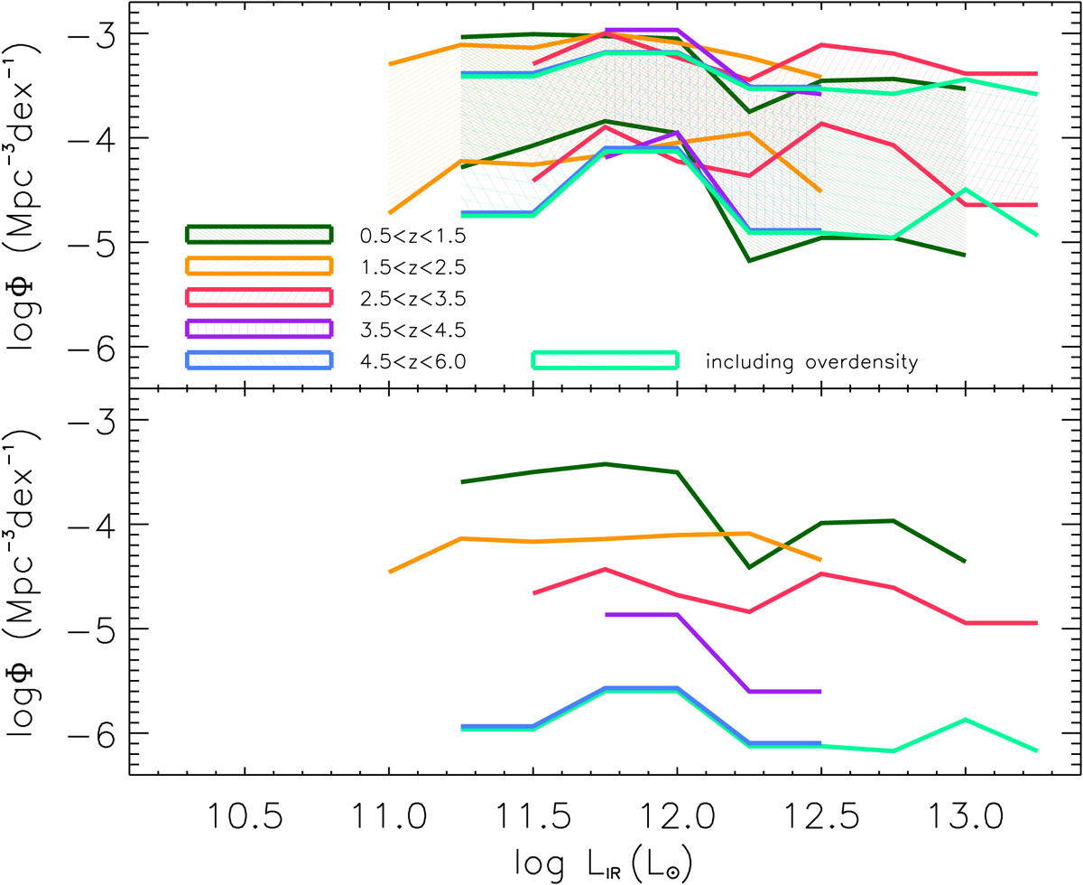
Fig. 15.

Total IR LF shown in the different panels of Fig. 13 plotted at all the different redshift intervals considered in this study, from z ∼ 0.5 to z ∼ 6. Top: the different coloured areas represent the ±1σ uncertainty regions at different redshifts obtained from the Monte Carlo simulations. We note that for the highest redshift interval (4.5 < z < 6.0), in both panels the LF is shown for both derivations. This was obtained by excluding (blue) and including (green) the sources at the same redshifts of the ALPINE targets (see legend). Bottom: median value of the LFs in each luminosity bin at all the redshift intervals, each scaled by a factor of 0.5 relatively to the previous one, from the lowest to the highest redshift. The different colours show the different redshift intervals, with the same colours of the top panel.
Current usage metrics show cumulative count of Article Views (full-text article views including HTML views, PDF and ePub downloads, according to the available data) and Abstracts Views on Vision4Press platform.
Data correspond to usage on the plateform after 2015. The current usage metrics is available 48-96 hours after online publication and is updated daily on week days.
Initial download of the metrics may take a while.