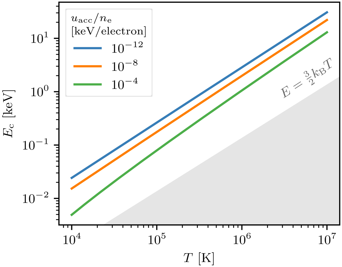
Fig. 4.

Temperature dependence of the lower cut-off energy Ec, for a selection of values of the non-thermal energy per thermal electron, uacc/ne, representative of the conditions in a relatively quiet atmosphere. A power-law index of δ = 4 was used, but any realistic value would give practically identical results. The shaded area is where the cut-off energy would be lower than the average thermal energy.
Current usage metrics show cumulative count of Article Views (full-text article views including HTML views, PDF and ePub downloads, according to the available data) and Abstracts Views on Vision4Press platform.
Data correspond to usage on the plateform after 2015. The current usage metrics is available 48-96 hours after online publication and is updated daily on week days.
Initial download of the metrics may take a while.