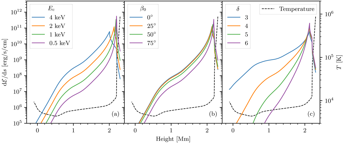
Fig. 5.

Heating from an electron beam injected into the transition region of an average quiet sun atmosphere. The rate of energy deposition per distance is plotted against the height above the photosphere, for different values of the lower cut-off energy Ec (panel a), initial pitch angle β0 (panel b) and power-law index δ (panel c). In all cases, the beam originates 2.3 Mm above the photosphere with a power of Pbeam = 1018 erg s−1. Additionally we have used Ec = 2 keV for panels b and c, β0 = 0° for panels a and c and δ = 4 for panels a and b. The dashed curve is the temperature profile. The atmosphere corresponds to model C of Fontenla et al. (1993), extrapolated to coronal temperatures.
Current usage metrics show cumulative count of Article Views (full-text article views including HTML views, PDF and ePub downloads, according to the available data) and Abstracts Views on Vision4Press platform.
Data correspond to usage on the plateform after 2015. The current usage metrics is available 48-96 hours after online publication and is updated daily on week days.
Initial download of the metrics may take a while.