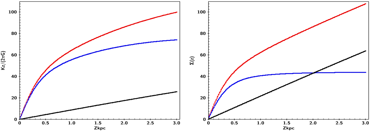
Fig. 14.

Left: vertical force (in M⊙ pc−2 units) perpendicular to the galactic plane versus the vertical distance. Red shows the total vertical force. Blue shows the disc contribution to the vertical force. Black shows the dark matter contribution to the vertical force. Right: surface density in M⊙ pc−2 integrated from −z to z. Red shows the total surface density. Blue shows the disc contribution. Black shows the dark matter contribution to the integrated surface density. The differences between the left and right panels can be understood from Eqs. (12) and (13) for each component. The rotation curve of the disc component is decreasing and that of the halo is increasing, leaving the total rotation curve almost flat (albeit slightly decreasing). Therefore, the surface density of the disc is smaller than its corresponding vertical force (blue curves) and the opposite is true for the halo (black curves). The total surface density is slightly smaller than the corresponding vertical force up to z ∼ 2 kpc (red curves), but the trend is then reversed due to the details of the mass distribution at larger heights.
Current usage metrics show cumulative count of Article Views (full-text article views including HTML views, PDF and ePub downloads, according to the available data) and Abstracts Views on Vision4Press platform.
Data correspond to usage on the plateform after 2015. The current usage metrics is available 48-96 hours after online publication and is updated daily on week days.
Initial download of the metrics may take a while.