Free Access

Fig. 6

image

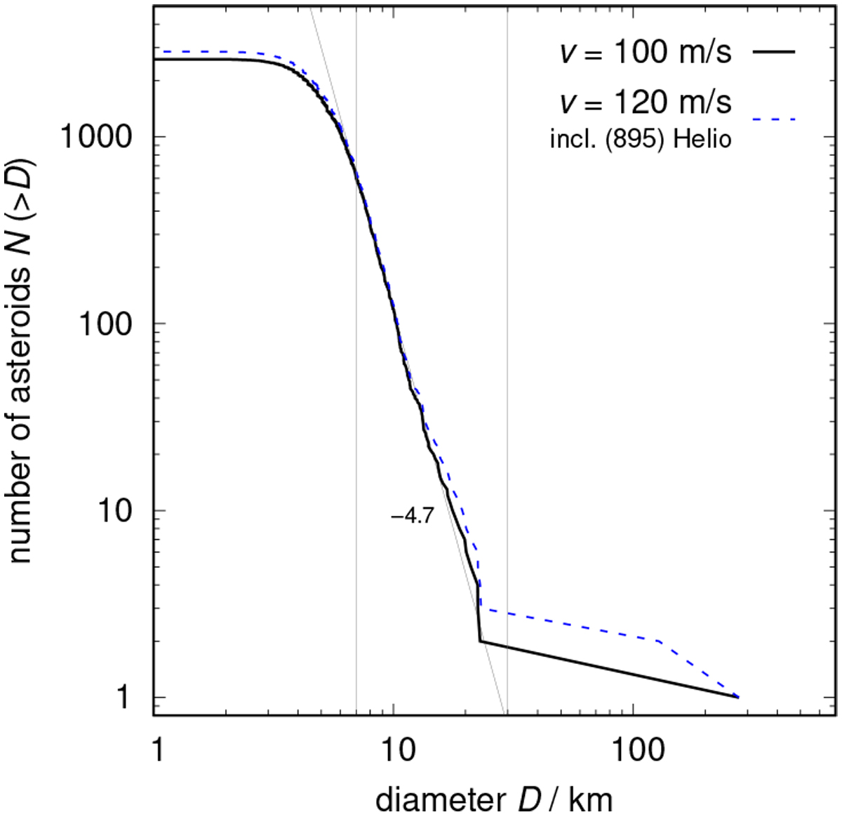
Cumulative SFD of the Euphrosyne family for two values of the cutoff velocity, vcut = 100 and 120 m s−1. The latter one also includes (895) Helio, an intermediate-size object which is considered to be a possible interloper. In the interval of sizes D ∈ (7;25) km, the SFD can be fitted by a power-law with the slope − 4.7, with the uncertainty ±0.2.

Current usage metrics show cumulative count of Article Views (full-text article views including HTML views, PDF and ePub downloads, according to the available data) and Abstracts Views on Vision4Press platform.

Data correspond to usage on the plateform after 2015. The current usage metrics is available 48-96 hours after online publication and is updated daily on week days.

Initial download of the metrics may take a while.