Free Access
Fig. 5.

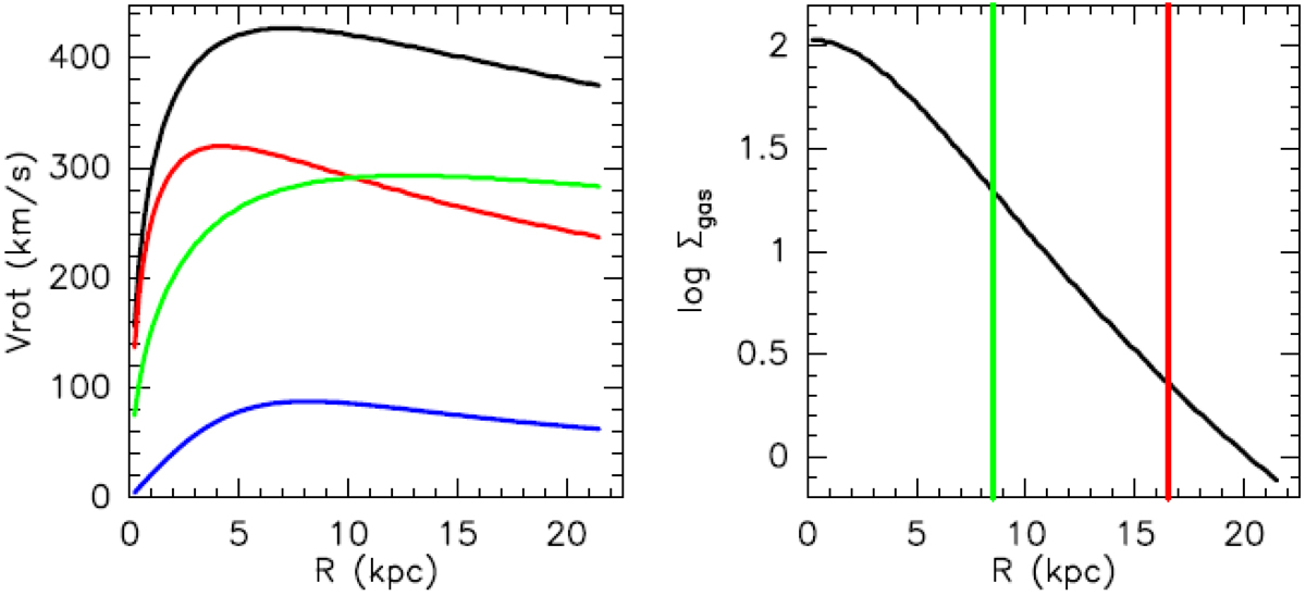
Mass model for R1-1 or GRG-J2345−0449 (left), with the contributions to the rotational velocity of the stellar mass (red), the dark matter (green), and the gas (blue). The right panel shows the adopted gas surface density. The two vertical lines indicate the FWHM beam of the CO(1-0) (red) and CO(2-1) (green).
Current usage metrics show cumulative count of Article Views (full-text article views including HTML views, PDF and ePub downloads, according to the available data) and Abstracts Views on Vision4Press platform.
Data correspond to usage on the plateform after 2015. The current usage metrics is available 48-96 hours after online publication and is updated daily on week days.
Initial download of the metrics may take a while.