Open Access

Fig. 2.

image

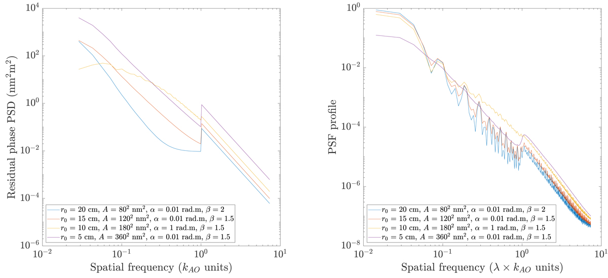
Azimuthal average in log-log scale of the PSD (left) and the PSF (right) obtained with four different settings for the model parameters, assuming that the PSD is symmetric, i.e. αx = αy = α and θ = 0. No static aberrations were added here and the parameter C was set to C = 10−4 rad2m2. The PSF maximum is normalized to the SR value.

Current usage metrics show cumulative count of Article Views (full-text article views including HTML views, PDF and ePub downloads, according to the available data) and Abstracts Views on Vision4Press platform.

Data correspond to usage on the plateform after 2015. The current usage metrics is available 48-96 hours after online publication and is updated daily on week days.

Initial download of the metrics may take a while.