Open Access

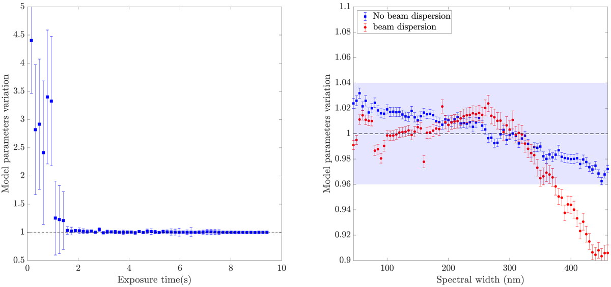
Fig. 8.

image

Left: average of absolute retrieved parameters with respect to the exposure time. The parameters are normalized by the value obtained from the long-exposure PSF (60 frames). Error bars are assessed by averaging results over the SOUL/LUCI data sets. Right: average retrieved parameters normalized by the median value over the whole span with respect to the spectral width. The envelope shows the ±4% of variations around the median value and the spectral bandwidth is systematically centered around 700 nm. Error bars are assessed by averaging results over the GALACSI/MUSE data sets.

Current usage metrics show cumulative count of Article Views (full-text article views including HTML views, PDF and ePub downloads, according to the available data) and Abstracts Views on Vision4Press platform.

Data correspond to usage on the plateform after 2015. The current usage metrics is available 48-96 hours after online publication and is updated daily on week days.

Initial download of the metrics may take a while.