Open Access
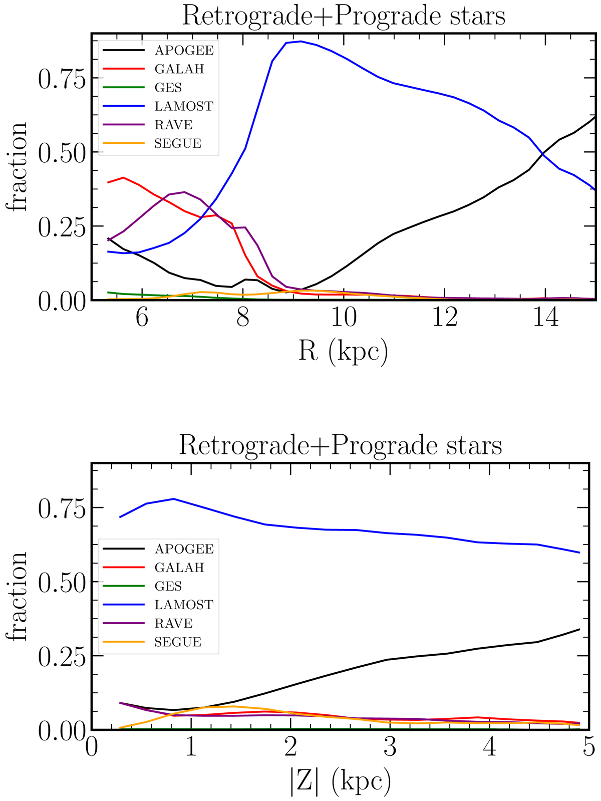
Fig. 1.

Relative fraction of targets within each survey for the stars closer than 5 kpc from the Galactic plane after application of the quality cuts described in Sect. 2, as a function of the Galactocentric radius, R (top), and as a function of absolute distance from the Galactic plane, |Z| (bottom).
Current usage metrics show cumulative count of Article Views (full-text article views including HTML views, PDF and ePub downloads, according to the available data) and Abstracts Views on Vision4Press platform.
Data correspond to usage on the plateform after 2015. The current usage metrics is available 48-96 hours after online publication and is updated daily on week days.
Initial download of the metrics may take a while.