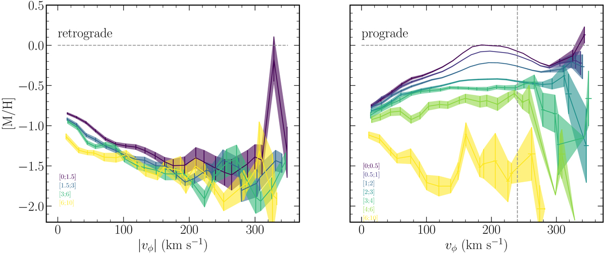
Fig. 8.

vϕ vs [M/H] for the stars in the Solar cylinder (R = [7.2−9.2] kpc). Different colours correspond to different distances from the Galactic plane (darker colours correspond to the closest to the plane, yellow colours to the farthest distances), the range in kpc being reported at the lower-left corner of each plot. The vertical dashed line is at VLSR and horizontal dashed line is at solar metallicity. Vertical error bars correspond to , where N is the number of stars in a given bin and σ[M/H] is the standard deviation of the metallicity inside that bin.
Current usage metrics show cumulative count of Article Views (full-text article views including HTML views, PDF and ePub downloads, according to the available data) and Abstracts Views on Vision4Press platform.
Data correspond to usage on the plateform after 2015. The current usage metrics is available 48-96 hours after online publication and is updated daily on week days.
Initial download of the metrics may take a while.