Free Access

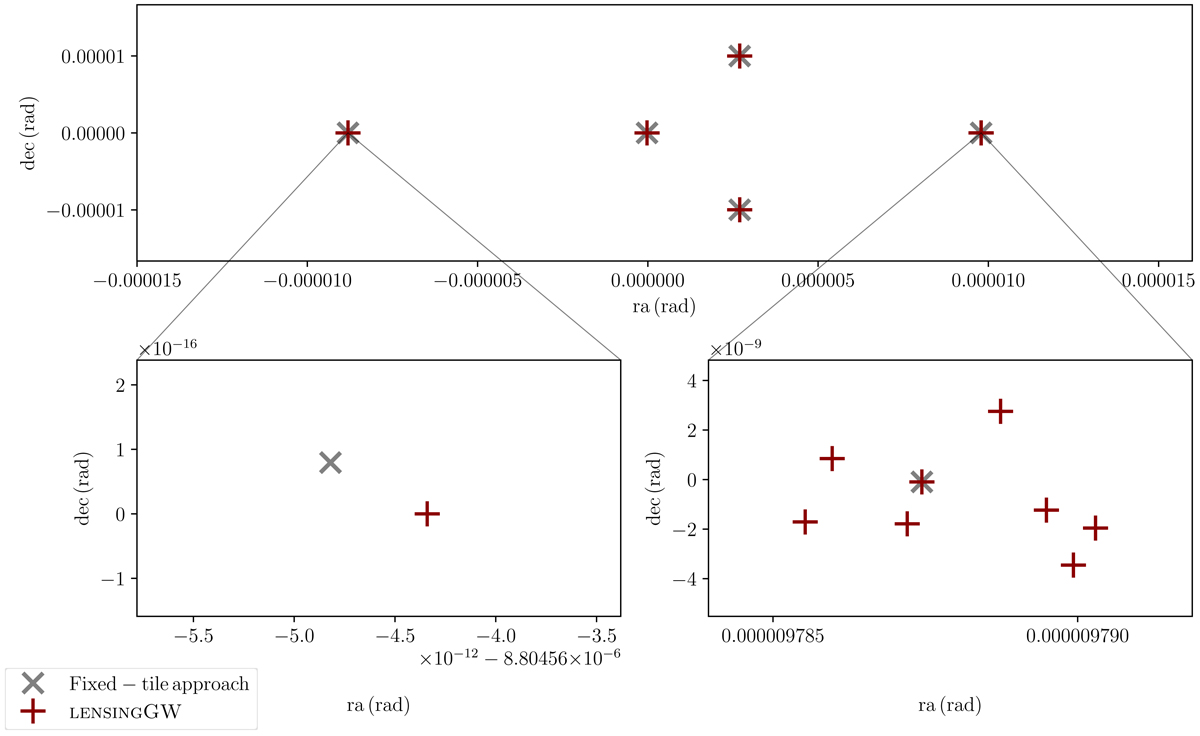
Fig. 3.

image

Comparison between the LENSINGGW lens equation solver and a fixed-tile algorithm. Right ascension (RA) and declination (Dec) of the images recovered by LENSINGGW (red crosses) and by a fixed-tile routine (gray x) for an elliptical galaxy plus ∼600 microlenses injected around the most magnified macroimage. The strongly lensed images (top panel) are correctly recovered by both algorithms. However, the zoom into the microlensed image (bottom right) shows that LENSINGGW is able to recover eight microimages, while the fixed-tile approach identifies them as a single image. The solution of the system with LENSINGGW required ∼19 s on a standard machine and ∼12 h with the fixed-tile method at the lowest tile resolution below the microimage separations. The zoom into a strongly lensed image without microlenses (bottom left) is also shown for completeness. Coordinates are relative to the galaxy center.

Current usage metrics show cumulative count of Article Views (full-text article views including HTML views, PDF and ePub downloads, according to the available data) and Abstracts Views on Vision4Press platform.

Data correspond to usage on the plateform after 2015. The current usage metrics is available 48-96 hours after online publication and is updated daily on week days.

Initial download of the metrics may take a while.