Free Access

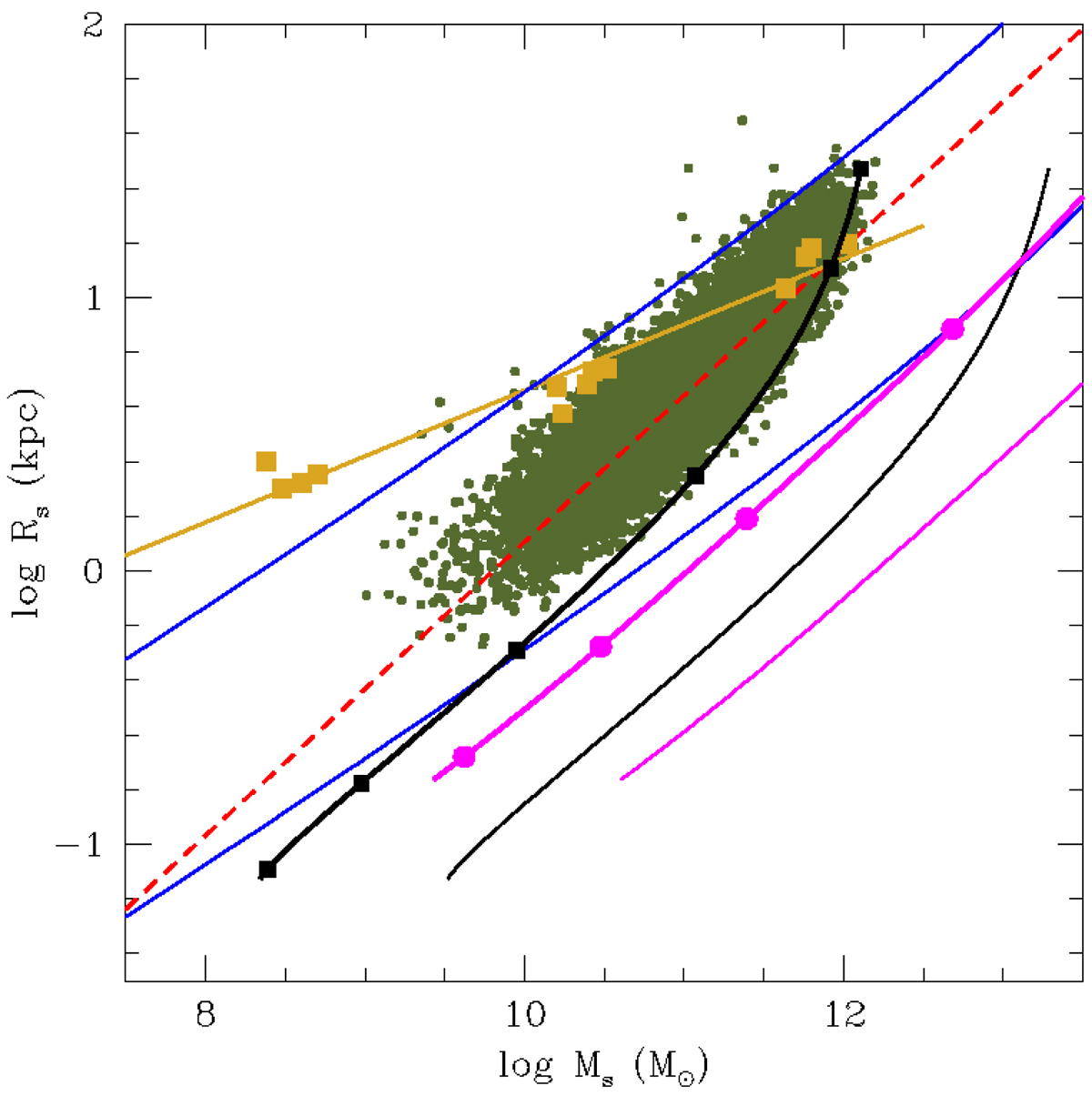
Fig. 9.

image

Cosmic galaxy shepherd and the corresponding locus of DM parent halos (the black solid thick and thin lines, respectively) for the number density of Ns = 10−2 halos per (Mpc h−1)3. In addition to this we show the case with Ns = 10−8 halos per (Mpc h−1)3 (the magenta solid thick and thin lines). The various loci are plotted onto the observational MR plane (see text for all details). We also draw the observational data for the sample of Bernardi et al. (2010) with the linear fit obtained by these latter authors, and two theoretical MRRs from Eq. (12) of (Fan et al. 2010; solid thin blue lines) relative to z = 0 and z = 10, with m = 15 and fσ = 1. In addition to this, the present-day position of the reference galaxy models and their linear fit are shown (the golden filled squares and solid line). Finally, the filled black squares and magenta circles show the cosmic galaxy shepherd at different redshifts (z = 0, 1, 5 10, 15, and 20) for the two cases of the number density per (Mpc h−1)3.

Current usage metrics show cumulative count of Article Views (full-text article views including HTML views, PDF and ePub downloads, according to the available data) and Abstracts Views on Vision4Press platform.

Data correspond to usage on the plateform after 2015. The current usage metrics is available 48-96 hours after online publication and is updated daily on week days.

Initial download of the metrics may take a while.