Free Access

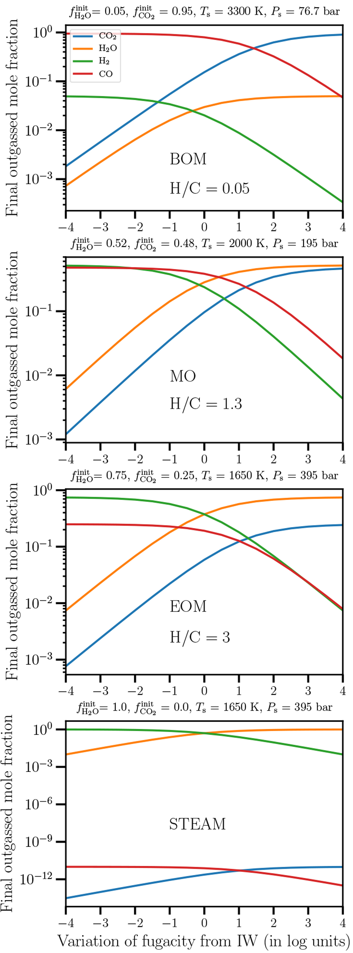
Fig. 2

image

Volatile chemical speciation in terms of outgassed mole fraction vs. oxygen fugacity of the mantle. The x-axis indicates the oxygen fugacity range in logarithmic units relative to the IW buffer. For reference (in log units), buffers QIF = IW-1, QFM = IW+3.8, and NiNiO = IW+4.2 approximately (Wood et al. 1990). From top to bottom: BOM, active MO phase, EOM and a steam-atmosphere phase that are characterized by different initial H/C between hydrogen and carbon. The corresponding input values of the initial volume mixing ratio of volatiles, surface pressures Ps, and temperatures Ts (Nikolaou et al. 2019) for the speciation model are indicated at the top of each panel.

Current usage metrics show cumulative count of Article Views (full-text article views including HTML views, PDF and ePub downloads, according to the available data) and Abstracts Views on Vision4Press platform.

Data correspond to usage on the plateform after 2015. The current usage metrics is available 48-96 hours after online publication and is updated daily on week days.

Initial download of the metrics may take a while.