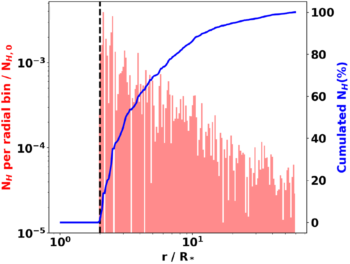
Fig. 3

Column density, per logarithmic radial bin (red, logarithmic axis on the left) and cumulative (blue, linear axis on the right), as a function of the distance to the stellar center. The position of the compact object is indicated with a dashed black line. The total column density up to 30 orbital separations is ~97% of the column density computed for a smooth wind integrated up to thousands of stellar radii. The dimensionless parameters are mcl = 10−5, Rcl = 0.08, a = 2, P = 80 and i = 45°.
Current usage metrics show cumulative count of Article Views (full-text article views including HTML views, PDF and ePub downloads, according to the available data) and Abstracts Views on Vision4Press platform.
Data correspond to usage on the plateform after 2015. The current usage metrics is available 48-96 hours after online publication and is updated daily on week days.
Initial download of the metrics may take a while.