Free Access
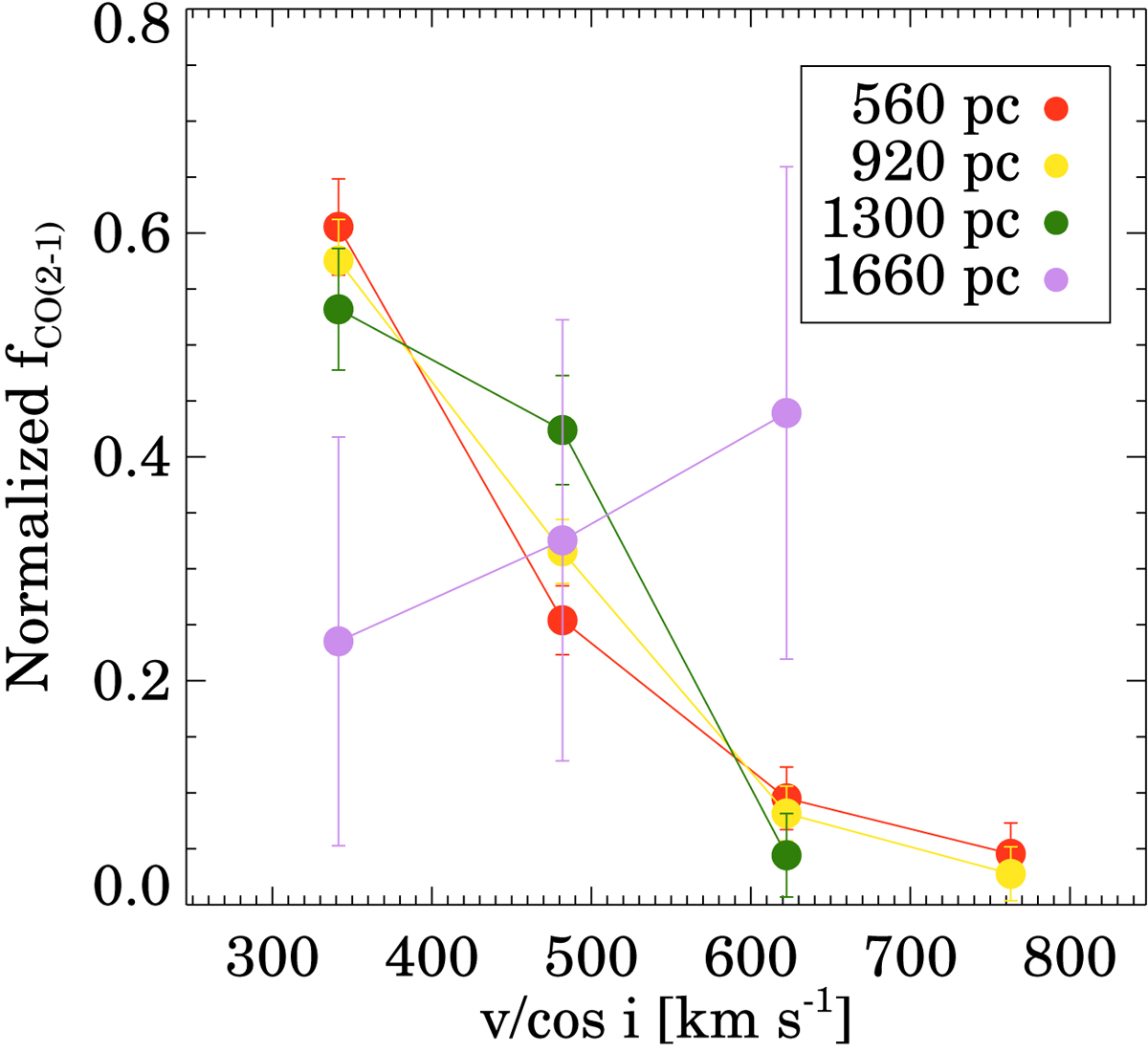
Fig. 12.

Fraction of the high-velocity CO(2–1) emission as a function of the deprojected velocity for annulus sectors at various deprojected radii (see also Fig. 11). We joined the data points to guide the eye.
Current usage metrics show cumulative count of Article Views (full-text article views including HTML views, PDF and ePub downloads, according to the available data) and Abstracts Views on Vision4Press platform.
Data correspond to usage on the plateform after 2015. The current usage metrics is available 48-96 hours after online publication and is updated daily on week days.
Initial download of the metrics may take a while.