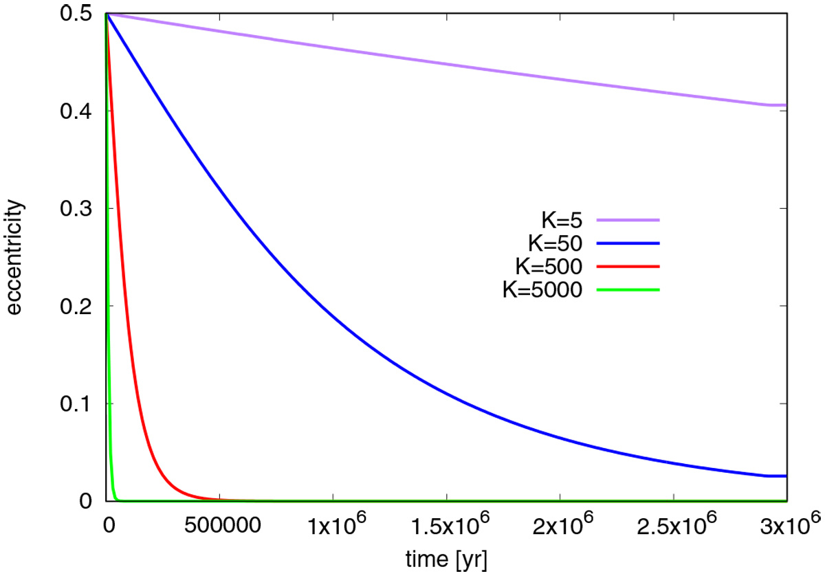
Fig. 1

Change of the eccentricity of a one Jupiter mass planet as function of time for the different damping parameters. The K damping values are derived using the classical type-II migration timescales. The flattening of the damping at the end of the disc lifetime is due to the exponential decay of the gas disc surface in the last 100 kyr, which reduces the gas surface density and thus the damping effects.
Current usage metrics show cumulative count of Article Views (full-text article views including HTML views, PDF and ePub downloads, according to the available data) and Abstracts Views on Vision4Press platform.
Data correspond to usage on the plateform after 2015. The current usage metrics is available 48-96 hours after online publication and is updated daily on week days.
Initial download of the metrics may take a while.