Free Access
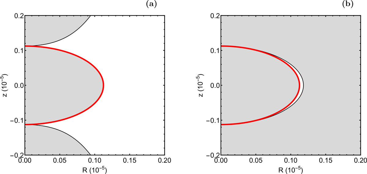
Fig. 1.

Geometry of the zero velocity curves (black lines), near the central region of the galaxy, for Mbh = 0.05 and (a): Lz = 0.1, (b): Lz = 0.5. The energetically allowed and forbidden regions of motion are indicated using white and gray, respectively, while the red line corresponds to the Schwarzschild radius.
Current usage metrics show cumulative count of Article Views (full-text article views including HTML views, PDF and ePub downloads, according to the available data) and Abstracts Views on Vision4Press platform.
Data correspond to usage on the plateform after 2015. The current usage metrics is available 48-96 hours after online publication and is updated daily on week days.
Initial download of the metrics may take a while.