Open Access
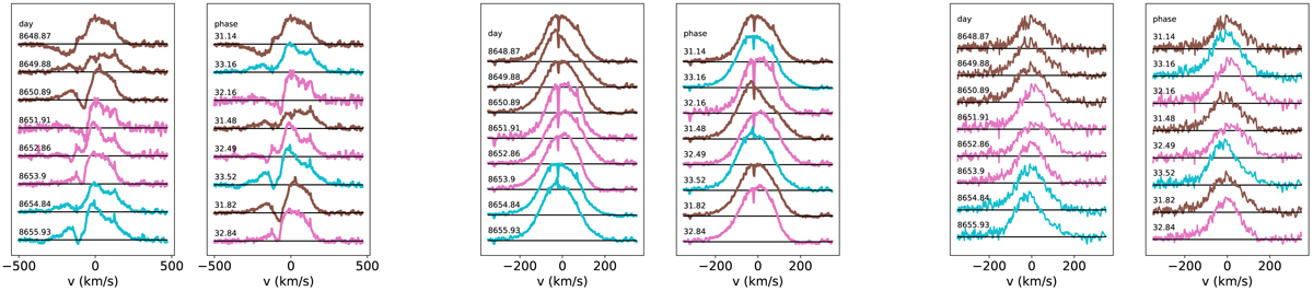
Fig. 12.

HeI 1083.3 nm (left), Paβ (middle), and Brγ (right) residual line profile variability as a function of date and phase. The narrow, slightly blueshifted absorption component close to the center of the Paβ line profile is due to imperfect telluric line correction. The color code corresponds to different rotational cycles.
Current usage metrics show cumulative count of Article Views (full-text article views including HTML views, PDF and ePub downloads, according to the available data) and Abstracts Views on Vision4Press platform.
Data correspond to usage on the plateform after 2015. The current usage metrics is available 48-96 hours after online publication and is updated daily on week days.
Initial download of the metrics may take a while.