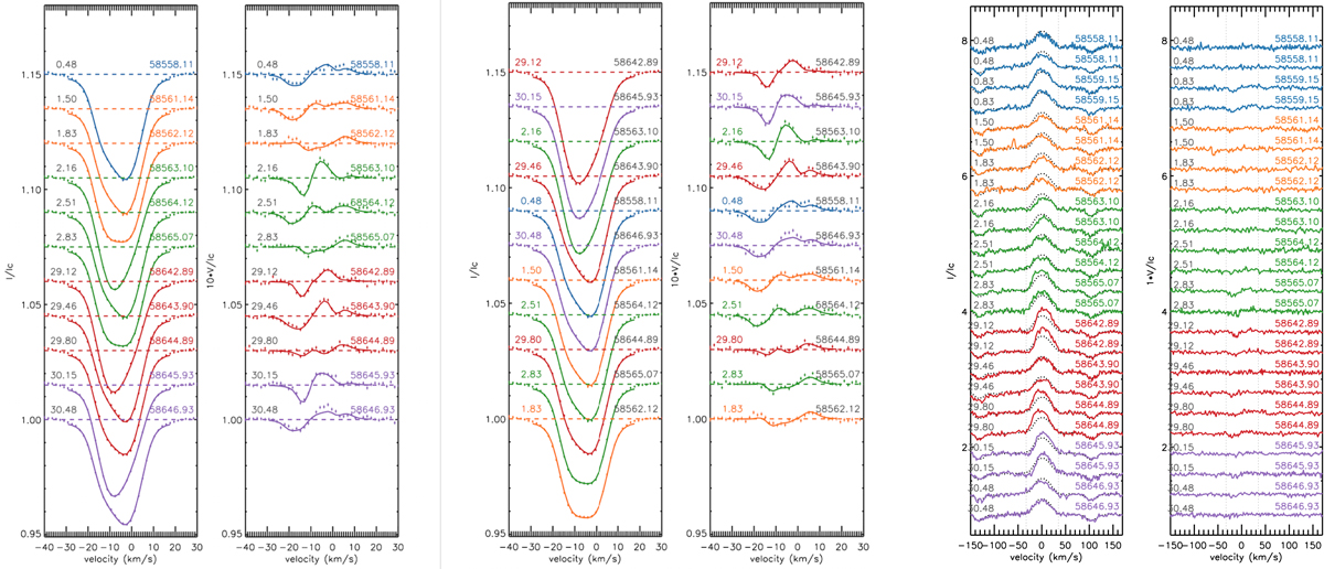
Fig. 15.

Left: Stokes I and Stokes V LSD profiles ordered as a function of Julian date. Middle: Stokes I and Stokes V LSD profiles ordered as a function of rotational phase. Right: Stokes I and Stokes V profiles of the HeI 587.6 nm line’s narrow component ordered as a function of rotational phase. The broad component of the HeI line profile has been fitted by a Gaussian and subtracted. The color code corresponds to successive rotational cycles.
Current usage metrics show cumulative count of Article Views (full-text article views including HTML views, PDF and ePub downloads, according to the available data) and Abstracts Views on Vision4Press platform.
Data correspond to usage on the plateform after 2015. The current usage metrics is available 48-96 hours after online publication and is updated daily on week days.
Initial download of the metrics may take a while.