Open Access

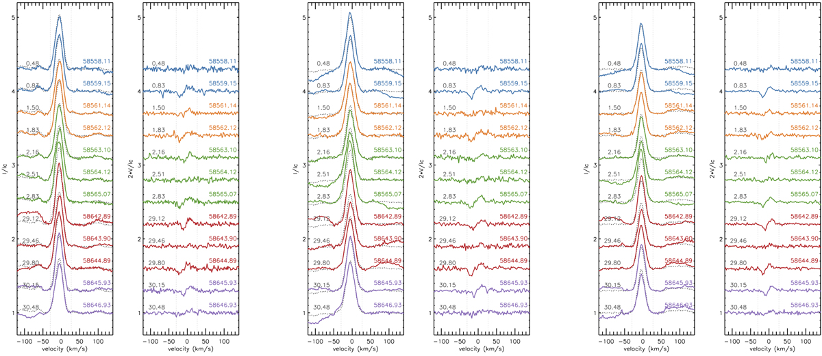
Fig. 16.

image

Stokes I (left panels) and V (right panels) profiles ordered as a function of Julian date for the three emission components of the CaII IR triplet: 849 nm (left), 854 nm (middle), 866 nm (right). The phase of the corresponding rotational cycles is indicated on the left of the profiles. The color code corresponds to successive rotational cycles.

Current usage metrics show cumulative count of Article Views (full-text article views including HTML views, PDF and ePub downloads, according to the available data) and Abstracts Views on Vision4Press platform.

Data correspond to usage on the plateform after 2015. The current usage metrics is available 48-96 hours after online publication and is updated daily on week days.

Initial download of the metrics may take a while.