Open Access
Fig. 7.

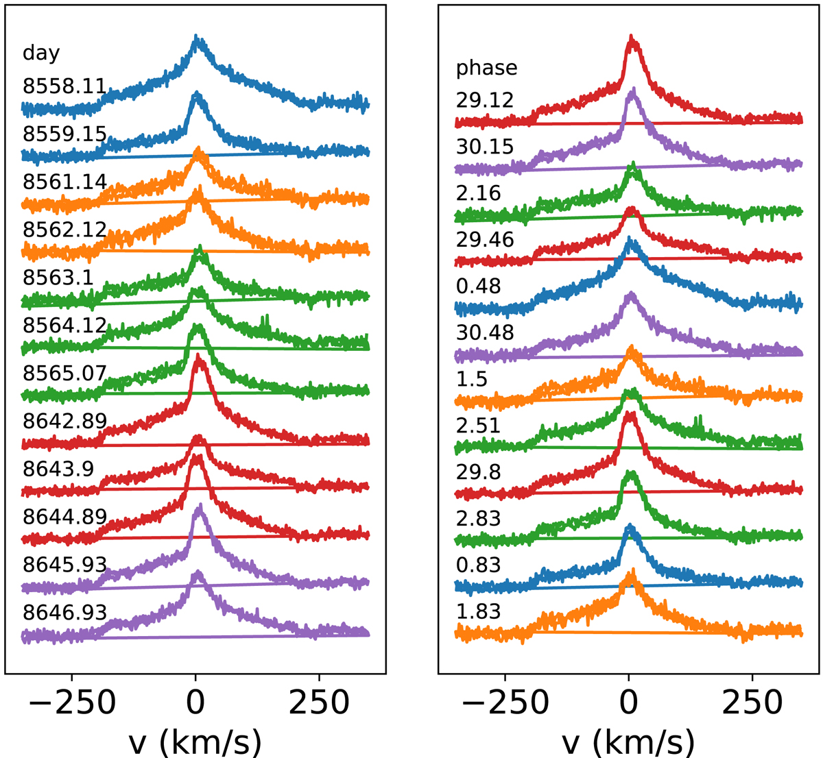
Same as Fig. 6 for HeI 587.6 nm residual line profile. We note the presence of a narrow component superimposed on a broad pedestal. Similar line profiles are observed in March and June 2019.
Current usage metrics show cumulative count of Article Views (full-text article views including HTML views, PDF and ePub downloads, according to the available data) and Abstracts Views on Vision4Press platform.
Data correspond to usage on the plateform after 2015. The current usage metrics is available 48-96 hours after online publication and is updated daily on week days.
Initial download of the metrics may take a while.