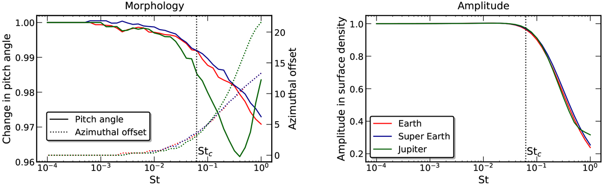
Fig. 4

Left panel: change in pitch angle with respect to the pitch angle of the spiral in the gas, fitted using the function ϕ = ar + b between r = 1.6,1.8 rpl as a function of the Stokes number. The solid lines represent the change in pitch angle relative to the pitch angle in the gas and the dotted lines show the constant azimuthal offset between the spiral in the gas and the dust in degrees. Right panel: amplitude of the spiral versus the Stokes number at r = 1.7 rpl, normalized by the amplitude of the spiral in the gas.
Current usage metrics show cumulative count of Article Views (full-text article views including HTML views, PDF and ePub downloads, according to the available data) and Abstracts Views on Vision4Press platform.
Data correspond to usage on the plateform after 2015. The current usage metrics is available 48-96 hours after online publication and is updated daily on week days.
Initial download of the metrics may take a while.