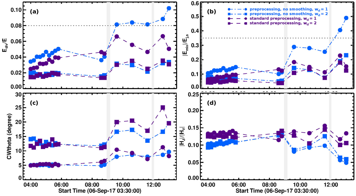
Fig. 3.

Evolution of (a) Ediv/E and (b) |Emix|/EJ, s and (c) θJ for different NLFF models, using the empirical error matrix WHMI, and based on differently preprocessed input data (including smoothing: violet symbols; omitting smoothing: blue symbols), and with different weighting of the volume-integrated divergence (wd = 1: bullets; wd = 2: squares); (d) corresponding time evolution of |HJ|/|H𝒱|. The horizontal dashed line in (a) indicates the nominal threshold of Ediv/E = 0.08, an upper limit for the accepted solenoidality of the input magnetic field. The horizontal dashed line in (b) indicates a suggested upper limit for the acceptable non-solenoidal error to the free magnetic energy (|Emix|/EJ, s = 0.35). Vertical bars as in Fig. 1.
Current usage metrics show cumulative count of Article Views (full-text article views including HTML views, PDF and ePub downloads, according to the available data) and Abstracts Views on Vision4Press platform.
Data correspond to usage on the plateform after 2015. The current usage metrics is available 48-96 hours after online publication and is updated daily on week days.
Initial download of the metrics may take a while.