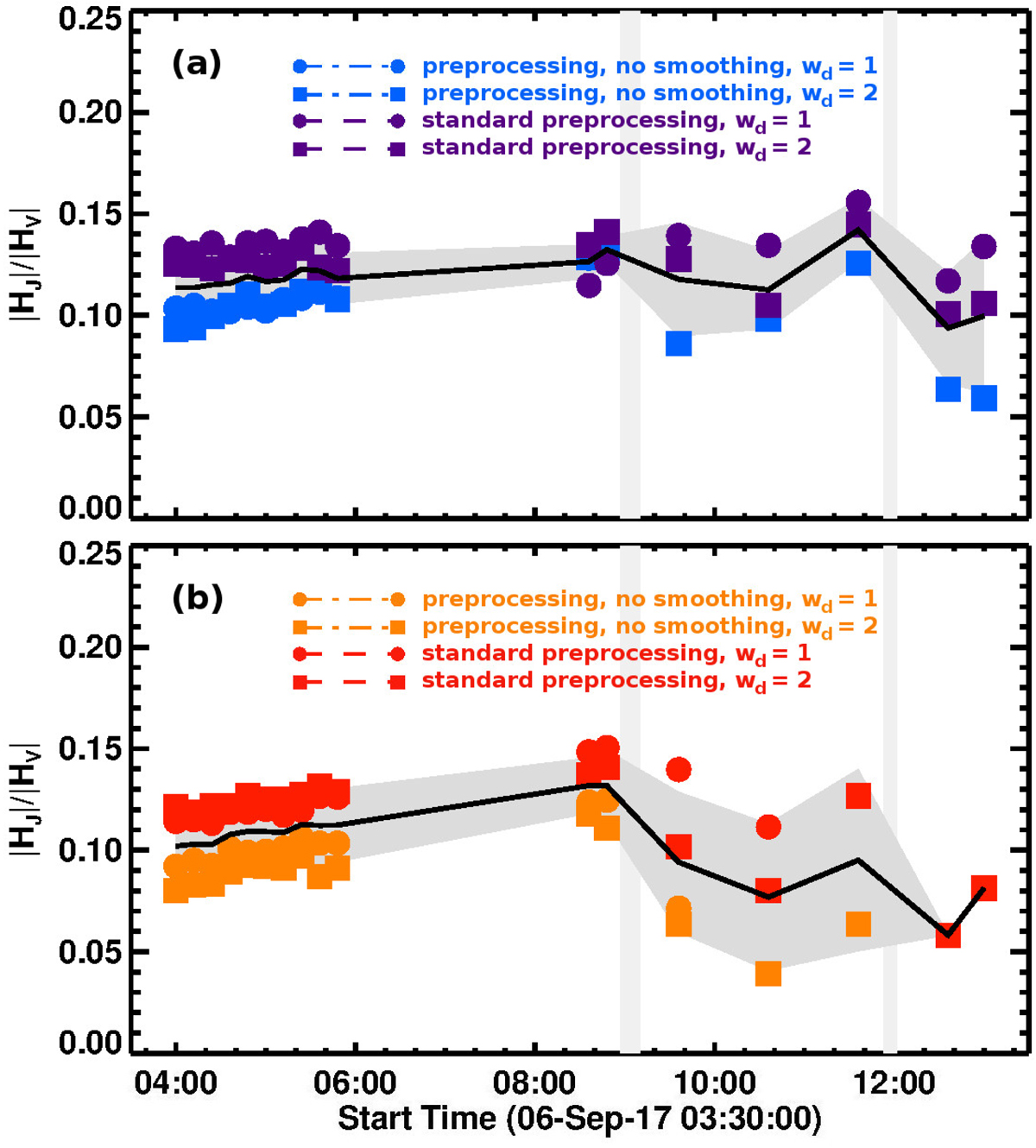
Fig. 5.

Time evolution of |HJ|/|H𝒱|, computed from the best-performing NLFF models using the error matrix (a) WHMI or (b) WEMP. At each time instance, only contributions from NLFF solutions are shown that satisfy |Emix|/EJ, s ≤ 0.4. The black solid line represents the mean value, computed from all qualifying solutions at each time instant. The gray shaded area represents the respective standard deviation. Vertical bars as in Fig. 1.
Current usage metrics show cumulative count of Article Views (full-text article views including HTML views, PDF and ePub downloads, according to the available data) and Abstracts Views on Vision4Press platform.
Data correspond to usage on the plateform after 2015. The current usage metrics is available 48-96 hours after online publication and is updated daily on week days.
Initial download of the metrics may take a while.