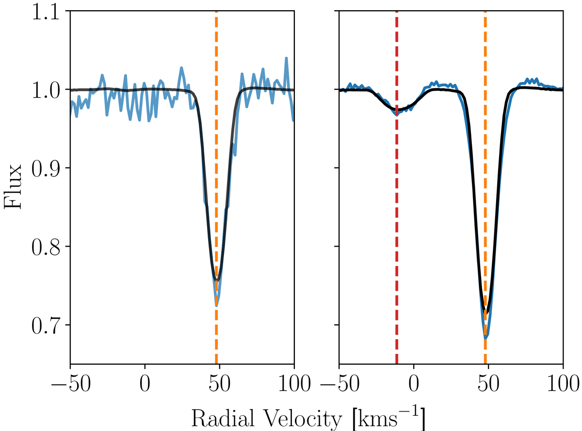
Fig. 2.

Comparison of the LSD profiles generated from a HERMES (left panel) and a HIRES (right panel) spectrum of KIC9850387 taken at an orbital phase of ∼ − 0.45. Synthetic LSD profiles in black are fitted to the observed LSD profiles in blue in order to determine the radial velocities of the primary (indicated by the vertical orange dashed lines) and the secondary (indicated by the vertical red dashed line) component.
Current usage metrics show cumulative count of Article Views (full-text article views including HTML views, PDF and ePub downloads, according to the available data) and Abstracts Views on Vision4Press platform.
Data correspond to usage on the plateform after 2015. The current usage metrics is available 48-96 hours after online publication and is updated daily on week days.
Initial download of the metrics may take a while.