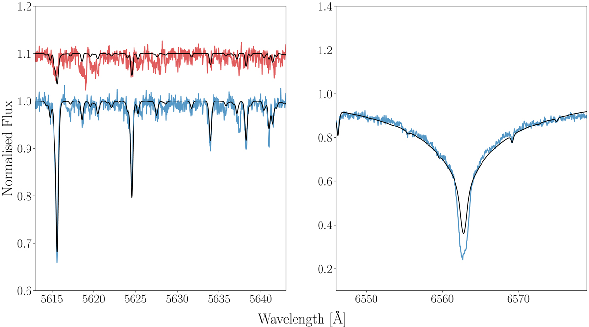
Fig. 4.

Best-fitting synthetic spectrum (in black), generated by GSSP, to the disentangled primary component HIRES spectrum (in blue). The disentangled secondary component HIRES spectrum (in red) is also plotted, with a synthetic spectrum generated with input parameters derived from eclipse modelling (listed in Table 2). The left panel is a metal-line region and the Hα region in displayed in the right panel.
Current usage metrics show cumulative count of Article Views (full-text article views including HTML views, PDF and ePub downloads, according to the available data) and Abstracts Views on Vision4Press platform.
Data correspond to usage on the plateform after 2015. The current usage metrics is available 48-96 hours after online publication and is updated daily on week days.
Initial download of the metrics may take a while.