Free Access
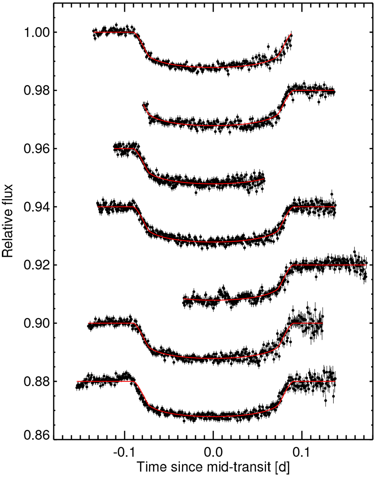
Fig. 2

Light curves obtained by EulerCam (bottom to top: 2014 April 28, 2016 March 09, 2017 February 28, 2017 March 20, 2018 February 13, 2018 March 31, 2019 February 24) offset by 0.02 for visibility. The computed models are shown in red.
Current usage metrics show cumulative count of Article Views (full-text article views including HTML views, PDF and ePub downloads, according to the available data) and Abstracts Views on Vision4Press platform.
Data correspond to usage on the plateform after 2015. The current usage metrics is available 48-96 hours after online publication and is updated daily on week days.
Initial download of the metrics may take a while.